You are currently viewing a new version of our website. To view the old version click .
Molecules
  • Article
  • Open Access

3 December 2008

Enantioselective Synthesis of Homo-N-Nucleosides Containing a 1,4-Dioxane Sugar Analog

and
Department of Chemistry, Norwegian University of Science and Technology (NTNU), N-7491 Trondheim, Norway
*
Author to whom correspondence should be addressed.
This article belongs to the Special Issue Nucleic Acids

Abstract

A dioxane homo-sugar analog, (2S,5S)-and (2R,5S)-5-[(4S)-2,2-dimethyl-1,3-dioxolan-4-yl]-2-iodomethyl-1,4-dioxane was prepared from (2R,3R)-dimethyl tartrate, and further elaborated into the corresponding homo-N-nucleoside analogs by its reactions with uracil and adenine, respectively.

Introduction

There has been an increasing interest in the synthesis of nucleoside analogs with modifications of the sugar moiety for the purpose of obtaining new antiviral and antitumor agents [1,2,3]. A well known class of modified nucleosides are the homo-N- and C-glycosidic nucleosides [4,5,6,7,8] The insertion of a methylene group between the heterocyclic base and the sugar moiety results in a more flexible structure, and due to the lack of an anomeric acetal position, these nucleosides are in general resistant to enzymatic degradation [8]. For these reasons, we decided to pursue the synthesis of nucleoside analogs, however, based on the conformationally more flexible, optically active homo-1,4-dioxane sugar analogs. The objective was thus to construct novel homo-N-nucleoside analogs containing a 1,4-dioxane sugar moiety. A representative structure is shown in Figure 1, where the 1,4-dioxane homo-sugar analog is substituted with uracil or adenine, respectively.
Figure 1. A representative structure of the 1,4-dioxane homo-N-nucleoside analogs.

Results and Discussion

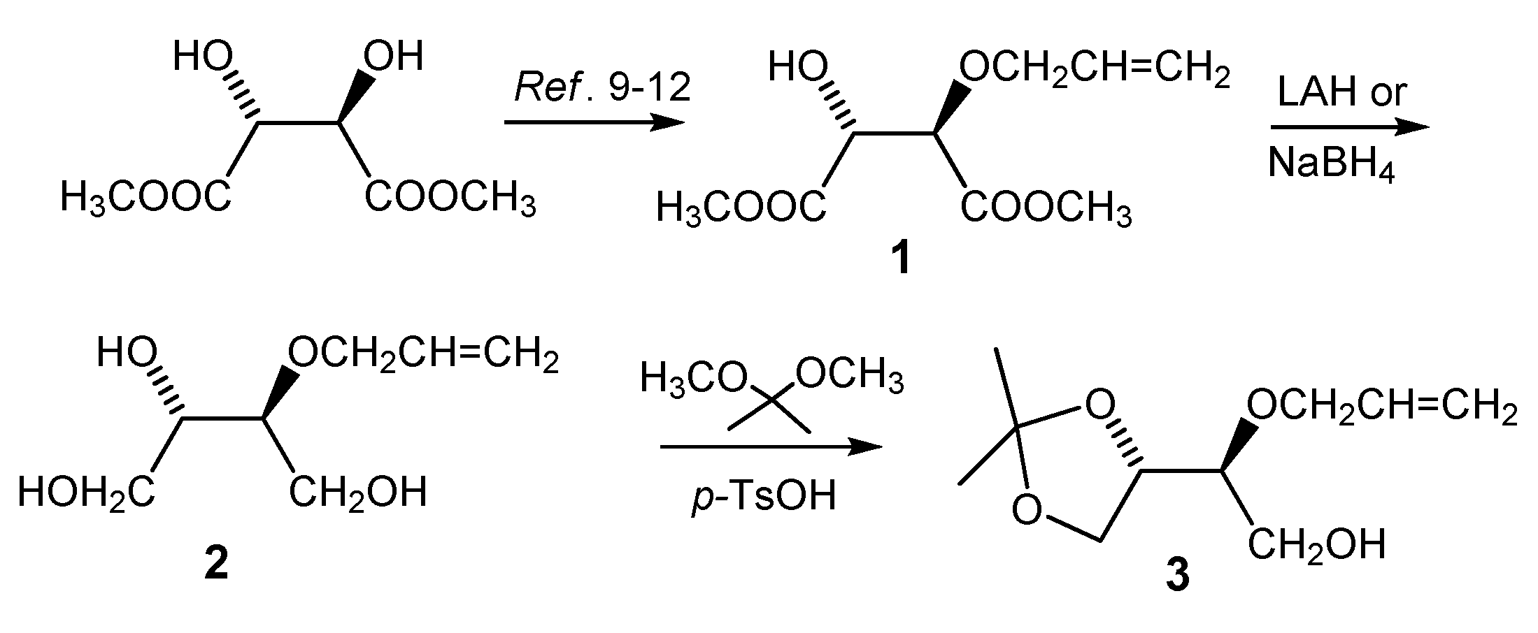
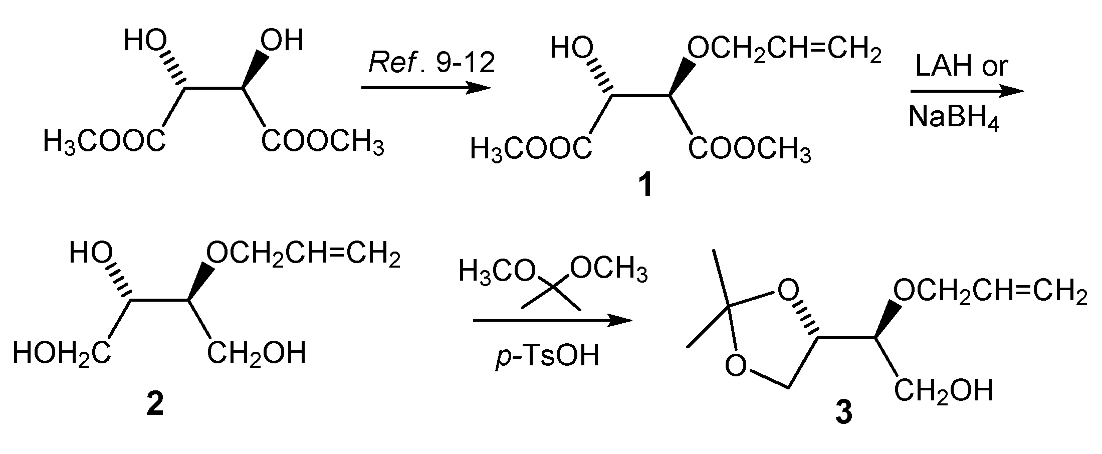
The formation of the 1,4-dioxane homo-sugar analog 4 was readily achieved starting from (2R,3R)-dimethyl tartrate, an inexpensive and commercial available chiral starting material. Thus, (2R,3R)-dimethyl tartrate was converted into the corresponding enantiomerically pure allyl ether 1 [9] either by the reaction with allyl bromide in the presence of silver oxide [10] or in a tin assisted reaction with dibutyltin oxide [11,12]. The dimethyl (2R,3R)-2-O-allyltartrate 1 was then reduced by LiAlH4 [13,14,15] or NaBH4 [16,17] to give triol 2. The two vicinal hydroxyl groups in 2 were next protected through formation of acetal 3 by the reaction with 2,2-dimethoxypropane in the presence of p-toluenesulfonic acid (Scheme 1). The use of the tartrates as chiral starting materials conveniently allows for the synthesis of all the possible, optically active stereoisomers of 3 and subsequently the corresponding homo-sugar analogs.
Scheme 1. Synthesis of the partially protected (2S,3S)-2(allyloxy)butane-1,3,4-triol, 3.
Iodocyclization of intermediate 3 in the presence of anhydrous NaHCO3 in dry acetonitrile [18,19,20,21] gave the 1,4-dioxane pseudo-sugar as a diastereomeric mixture of trans- and cis- iodides 4a and 4b in 26.4 % and 25.4 % isolated yields, respectively. The trans-compound 4a and cis-compound 4b were separated by flash chromatography using a solvent mixture of diethyl ether and n-hexane (gradient 1/4-1/1), Scheme 2.
Scheme 2. Formation of homo-sugar iodides 4a and 4b.
Structures 4a and 4b were elucidated and verified by 1H-, 13C-, and DEPT-NMR experiments in combination with 2D NMR spectroscopy techniques (COSY, HSQC, HMBC, NOESY). The assigned structures were in full agreement with the NMR data. Product 4a was assigned the trans-configuration as the coupling constants JAC and JAB were measured to 10.2Hz and 2.4Hz, respectively. This was in agreement with the –CH2I group being in an equatorial position. The corresponding coupling values for the other isomer were 3.6Hz and 3.3Hz, respectively, being in agreement with the structure of the cis-isomer 4b.
The uracil homo-N-nucleoside analog 5a was obtained by reacting uracil with sodium hydride in DMF [22], followed by the reaction with trans-iodide 4a. A byproduct containing two 1,4-dioxane rings was also obtained and assigned the structure 6a. This byproduct was not easily separated from product 5a. The acetal functions in compounds 5a and 6a were then removed using Amberlyst 15 in methanol providing a mixture of homo-N-nucleoside analog 7a and dimer 8a, Scheme 3. Compounds 7a and 8a were now readily separated by flash chromatography. The cis-nucleoside analogs 7b and 8b were obtained from 4b by the same sequence of reactions.
Scheme 3. Synthesis of uracil N-nucleoside analogs 7a and 7b.
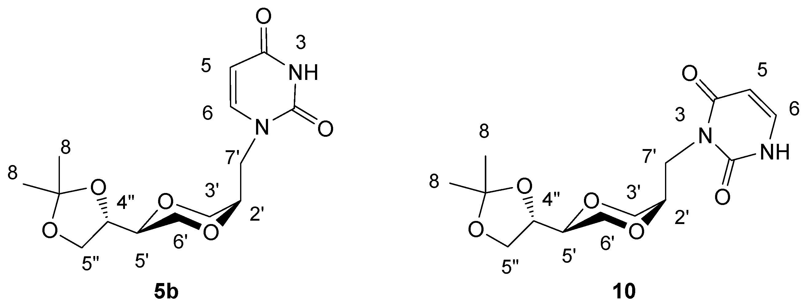
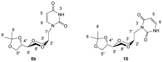
NMR spectra of the crude reaction mixtures gave indication of an additional byproduct, which as a working hypothesis was assumed to be the corresponding 3-regioisomer 10. To confirm the identity of the two regioisomers 5 and 10, uracil was first selectively protected as the 3-N position by benzoylation with benzoyl chloride in pyridine to provide pure N-3-benzoyluracil 9, [23]. Compound 9 was next reacted with iodide 4b in DMF to give product 5b (Scheme 4). The NMR spectral data of 5b prepared by the two different routes were in good agreement. Interestingly, the N-3 alkylation compound 10 was also observed in the product from the protected uracil 9. A 6:5 ratio of products 5b and 10 was observed. The results imply that a benzoyl-walk reaction probably took place under the reaction conditions. The pure 10 was isolated from the mixture of 5b and 10 by preparative TLC and its structure was confirmed by NMR spectroscopy. The detailed nature of these transformations was not further investigated.
Scheme 4. Reaction of iodide 4b with 3-benzoyluracil, 9.
Using anhydrous potassium carbonate [24,25] as the base, the trans- iodide 4a and cis- iodide 4b respectively were reacted with adenine to give compound 11a and 11b in 42% and 30% isolated yields, respectively, after flash chromatography. Deprotection of acetals 11a and 11b in the presence of Amberlyst-15 in methanol gave compound 12a and 12b in 85% and 70% yields (Scheme 5). Different from natural occurring purine nucleosides, 12a and 12b were stable under acidic conditions. The depurination reaction was avoided due to the presence of the methylene group between adenine and 1,4-dioxane homo-sugar analog moiety.
Scheme 5. Synthesis of adenine N-nucleoside analogs 12a and 12b.
The structures of the four adenine nucleoside analogs 11a, 11b, 12a, 12b were verified to be the N-9 adenine regioisomers by HMBC-NMR spectroscopy technique. In the case of 11a, three bond correlations, between C4 and HA and between C8 and HA, were observed, while three bond correlation between C5 and HA was not found (Figure 2). These findings were in agreement with e.g. product 11a be the N-9 adenine regioisomer.
Figure 2. Structure of adenine homo-N-nucleoside analog 11a.

Conclusions

In conclusion, optically active homo-N-sugar nucleoside analogs containing a 1,4-dioxane moiety as the sugar analog and substituted with uracil or adenine as the base were synthesized from dimethyl tartrate. These nucleoside analogs were stable under acidic conditions. Plans for the biological screening of the produced nucleoside analogs are currently in progress.

Experimental

General

NMR spectra were recorded on Bruker Avance DPX 300 or DPX 400 instruments. Chemical shifts are reported in ppm using TMS as the internal standard in CDCl3 or relative to 2.50 ppm for 1H and 39.99 ppm for 13C in DMSO-d6 or 3.31 ppm for 1H and 49.15 ppm for 13C in CD3OD. Structural assignments were based on 1H, 13C, DEPT135 and 2D spetra, COSY, HSQC, HMBC, NOESY. EI-Mass and ESI spectra were recorded on a Finnigan MAT 95XL spectrometer. IR spectra were obtained on a Thermo Nicolet FT-IR Nexus spectrometer using a Smart Endurance reflection cell. Silica gel Kieselgel 60G (Merck) was used for Flash Chromatography. The solvents were purified by standard methods. The preparations of compounds 1 were described elsewhere [9,10,11,12].
(2S,3S)-3-(allyloxy)butane-1,2,4-triol, (2)
This product was obtained by reduction of 1 with either LiAlH4 or NaBH4. LiAlH4 reduction: To a suspension of LiAlH4 (3.72 g, 95 %, 93 mmol) in dry diethyl ether (50 mL) was drop wise added a solution of 1 (4.36 g, 20 mmol) in 4 mL of diethyl ether at 0-5 °C. The reaction mixture was refluxed for 18 hours and then cooled in an ice bath. Then 5 mL of water was added and the mixture stirred for 20 minutes, followed by addition of a 15 % NaOH solution (12 mL) and then 10 mL of water. The resulting mixture was stirred and the granular salt formed, was separated by filtration, washed with hot THF (200 mL), and the filtrate concentrated under reduced pressure. The residue was purified by flash chromatography (CHCl3/CH3OH, 9:1 mixture) to give 0.83 g, 26 % of the pure product 2. NaBH4 reduction. Sodium borohydride (3.45 g, 93 mmol) in ethanol (50mL) was stirred for half an hour and then dropwise added a solution of 1 (4.35 g, 20 mmol) in ethanol (15 mL). The resulting solution was refluxed gently for 5 hours. The solution was cooled in an ice bath and added 10 mL of acetic acid. The mixture was stirred for 20 minutes and filtered. The solid was washed with 2x50 ml ethanol. The combined organic phase was concentrated under reduced pressure. The crude product was purified by flash chromatography using a 19:1 mixture of CH2Cl2 / MeOH as the eluent yielding 2.88 g, 88 % of the pure product, which exhibited the following spectroscopic properties: 1H-NMR (CDCl3, 400 MHz): δ = 3.45 (q, 1H, CH-OAllyl), 3.66-3.74 (m, 3H, 1H from CH2-CHOH, 2H from CH2-CH-OAll), 3.80 (dd, 1H from CH2-CHOH), 3.86 (q, 1H, CHOH), 4.03-4.20 (m, 2H, OCH2-CH=CH2), 4.32 (s, broad, 3H, OH), 5.18-5.38 (m, 2H, CH2=CH), 5.86-5.96 (m, 1H, CH=CH2) ppm.13C-NMR (CDCl3, 100MHz): δ = 60.6, 63.3, 71.6, 71.8, 79.1, 117.8, 134.5 ppm. MS (EI) m/z: 145 (M+-OH), 131 (M+-CH2OH), 101 (OH-CH2=O+CH2-CH=CH2), 61 (HOCH2CH=O+H). IR (neat): 3365, 2881, 1736, 1448 cm-1.
(S)-2-(allyloxy)-2-((S)-2,2-dimethyl-1,3-dioxolan-4-yl)ethanol (3)
A solution of 2 (6.20 g, 38 mmol), 2,2-dimethoxylpropane (4.00 g, 38.5 mmol) and p-TsOH (223 mg, 1.2 mmol) in 100 mL acetone was stirred overnight at room temperature. The solvent was then removed and the residue was purified by flash chromatography using a 3:2 mixture of Et2O / n-hexane as the eluent to provide product 3 as acolorless oil (5.11 g, 85 %). Unreacted starting material 2 (1.05 g crude product) was recovered by continued elusion with a 19:1 mixture of CH2Cl2 / MeOH. Product 3 exhibited the following spectroscopic properties: 1H-NMR (CDCl3, 400MHz): δ = 1.37 (s, 3H, CH3), 1.44 (s, 1H, CH3), 2.48 (s, broad, 1H, OH), 3.49-3.53 (m, 1H, CH-OAll), 3.59 (dd, J= 10.8Hz, 12Hz, 1H, HOCH2-CHOAll), 3.73 (dd, J= 4.2Hz, 12Hz, 1H, HOCH2-CHOAll), 3.81 (dd, J= 7.2Hz, 8.4Hz, 1H, C-OCH2CHO-C), 4.03 (dd, J= 6.4Hz, 8.4Hz, 1H, C-OCH2CHO-C), 4.18-4.22 (m, 2H, OCH2-CH=CH2), 4.26-4.31 (m, 1H, C-OCH2CHO-C), 5.24-5.33 (m, 2H, CH2=CH), 5.88-5.95 (m, 1H, CH=CH2) ppm.13C-NMR (CDCl3, 100MHz): δ 25.3, 26.4, 61.6, 65.4, 71.8, 76.4, 79.1, 109.4, 117.4, 134.7 ppm. MS: (EI) m/z: 202(M+), 187 (M+-CH3), 171(M+-CH2OH), 101(C5H9O2+).
(2S,5S)-5-[(4S)-2,2-dimethyl-1,3-dioxolan-4-yl]-2-iodomethyl-1,4-dioxane (4a) and (2R,5S)-5-[(4S)-2,2-dimethyl-1,3-dioxolan-4-yl]-2-iodomethyl-1,4-dioxane (4b)
To a solution of 3 (3.20 g, 15.8 mmol) in dry acetonitrile (50 mL) was added NaHCO3 (4.19 g, 49.9 mmol) at -15°C. The mixture was stirred for 10 minutes and iodine (12.10 g, 47.7 mmol) was added. The reaction mixture was stirred for 68 hours with exclusion of light at -15 to -0°C. Ethyl acetate (80 mL) was added to the mixture and the solution was neutralized by saturated sodium thiosulfate solution until a colorless solution was obtained. The aqueous phase was extracted with ethyl acetate and the combined organic phase was dried over anhydrous sodium sulfate. The solution was filtered and evaporated. The residue was purified by gradient column chromatography using Et2O/n-hexane (1:4, 1:1) as eluent. The two diastereomers were separated in yields of 26.4% (4a) and 25.4% (4b). The pure compounds were white solid. Rf was 0.43 and 0.36 respectively (n-hexane/Et2O 1:1). The product 4a exhibited the following spectroscopic properties: 1H-NMR (CDCl3, 400 MHz) δ = 4.10-4.02 (m, 1H, H-4”), 4.04 (dd, 1H, J = 11.6 Hz, 2.4 Hz, H-3eq), 3.97 (dd, 1H, J= 8.0 Hz, 6.6 Hz, H-5”), 3.79 (dd, 1H, J= 8.0 Hz, 6.8 Hz, H-5”), 3.79-3.53 (m, 4H, H-2, H-5’, H-6), 3.39 (dd, 1H, J= 11.6 Hz, 10.2 Hz, H-3ax), 3.07 (d, 2H, J = 6.0 Hz, H-7), 1.42 (d, 3 H, 5JH-4” – H-8 = 0.4 Hz, H-8), 1.35 (d, 3 H, 5JH-4” – H-8 = 0.4 Hz, H-8) ppm; 13C-NMR (CDCl3, 100 MHz) δ = 109.9, 75.4, 75.0, 74.2, 70.9, 67.9, 65.3, 26.4, 25.5, 25.4 ppm; HRMS (ESI) m/z: for C10H17IO4 [M+Na]+, Calcd. 351.0069, Found 351.0063. 4b: 1H-NMR (CDCl3, 400 MHz): δ = 4.29 (dd, 1H, J = 6.8 Hz, 13.2 Hz, H-4”), 4.02 (dd, 1H, J= 8.0 Hz, 6.4 Hz, H-5”), 3.97 (dd, 1H, J = 12.0 Hz, 3.6 Hz, H-3eq), 3.84 (dd, 1H, J= 12.0 Hz, 3.0 Hz, H-3ax), 3.80-3.75 (m, 1 H, H-2), 3.75 (dd, 1H, J = 8.0 Hz, J = 6.8 Hz, H-5”), 3.67 (dd, 1H, J = 12.4 Hz, 8.0 Hz, H-6ax), 3.61-3.57 (m, 1H, H-5), 3.60 (dd, 1H, J = 12.4 Hz, 2.8 Hz, H-6eq), 3.42 (dd, 1H, J = 7.0 Hz, 12.6 Hz, H-7a), 3.40 (dd, 1H, J = 7.0 Hz, 13.0 Hz, H-7b), 1.44 (d, 3H, 5JH-4” – H-8 = 0.4 Hz, H-8), 1.38 (d, 3 H, 5JH-4” – H-8 = 0.4 Hz, H-8) ppm; 13C-NMR (CDCl3, 100MHz) δ = 109.8, 74.8, 73.4, 72.5, 66.3, 65.5, 62.3, 26.4, 25.3, 3.2 ppm; HRMS (ESI) m/z: for C10H17IO4 [M+Na]+, Calcd. 351.0069, Found 351.0079; IR (neat): 2980, 2867, 1461, 1413, 1380, 1370 cm-1.
Figure 3. Structures 4a and 4b.
(2S,5S)-5-[(4S)-2,2-dimethyl-1,3-dioxolan-4-yl]-2-(uracil-1-yl-methyl)-1,4-dioxane (5a)
To a stirred suspension of uracil (0.253 g, 2.3 mmol) in dry DMF (19 mL), sodium hydride (0.065 g, 2.7 mmol) was added at room temperature. After stirring for one hour, compound 4a (0.35 g, 1.1 mmol) was added. The mixture was heated to 80°C and stirred overnight. The resulting mixture was evaporated under high vacuum. The residue was extracted with ethyl acetate. The solution was concentrated and purified by flash chromatography using ethyl acetate as the eluent. The product (201 mg) containing the inseparable byproduct 6a was obtained in 60% crude yield. The product 5a exhibited the following spectroscopic properties: 13C-NMR (CDCl3, 100 MHz): δ= 163.3, 150.9, 145.6, 109.8, 101.8, 75.2, 74.9, 73.3, 68.3, 67.4, 65.0, 48.8, 26.3, 25.2 ppm. The product contains inseparable byproduct 6a which makes the assignments of protons difficult; IR (neat) of the mixture of 5a and 6a: 3214, 3093, 2983, 2869, 1659, 1453, 1054 cm-1; HRMS (ESI) m/z: for C14H20N2O6 [M+Na]+, Calcd. 335.1219, Found 335.1222.
Figure 4. Structure 5a.
(2R,5S)-5-[(4S)-2,2-dimethyl-1,3-dioxolan-4-yl]-2-(uracil-1-yl-methyl)-1,4-dioxane (5b)
Method 1: The preparation of 5b was the same as used for the synthesis of 5a. Method 2: Sodium hydride (18 mg, 0.75 mmol) in 10 mL of dry DMF was stirred for half an hour at room temperature. N-3-benzoyluracil 9 (130 mg, 0.60 mmol) was added and stirred for an hour. To this suspension, iodide 4b (98 mg, 0.30 mmol) was added. The resulting stirred mixture was heated at 90°C overnight. The mixture was concentrated under reduced pressure to remove DMF. To the residue was added 20 mL methanol and the resulting mixture was stirred for 5 minutes. The solution was concentrated and purified by flash chromatography using CH2Cl2/CH3OH as the eluent. The obtained product (30 mg, 32 %) containing products 5b and 10 in a 5:6 ratio and was further purified by preparative TLC. The isolated product 5b exhibited the following spectroscopic properties: 1H-NMR (CDCl3, 400 MHz): δ = 1.39, 1.45 (s, 2x3H, H8), 3.60 (m, 1H, H-5’), 3.67-3.74 (m, 2H, H-6’), 3.74-3.80 (m, 2H, H-5” and H-3’), 3.82-3.86 (m, 1H, H-3’), 3.91-3.96 (m, 3H, H-7’ and H-2’), 4.05 (dd, 1H, J= 8.2 Hz, 6.6 Hz, H-5”), 4.32-4.37 (m, 1H, H-4”), 5.70 (d, 1H, J= 7.8 Hz, H-5), 7.20 (d, 1H, J= 7.8 Hz, H-6), 8.73 (brs, 1H, NH) ppm; 13C-NMR (CDCl3, 100 MHz): δ= 163.3, 150.8, 145.1, 109.9, 102.1, 74.4, 73.8, 71.0, 65.7, 64.9, 63.3, 47.6, 26.5, 25.4 ppm; IR (neat): 3097, 2985, 2874, 1682, 1652, 1455, 1124, 1060; HRMS (ESI) m/z: for C14H20N2O6 [M+Na]+, Calcd. 335.1219, Found 335.1222. The product 10 exhibited the following spectroscopic properties: 1H-NMR (CDCl3, 400 MHz): δ = 1.38, 1.45 (2×3H, CH3), 3.41 (dd, 1H, J = 4 Hz, 12 Hz), 3.62-3.67 (m, 1H), 3.70-3.75 (m, 2H), 3.87 (d, 2H), 3.97-4.08 (m, 3H), 4.23-4.28 (m, 1H), 4.81 (dd, J= 10 Hz, 14 Hz, 1H), 5.77 (dd, J= 7.6 Hz, 1.6 Hz, 1H, NCH=CH), 7.16 (dd, J= 7.6 Hz, 5.6 Hz, 1H, NCH=CH), 8.66 (d, 1H) ppm; 13C-NMR (CDCl3, 100MHz): δ= 25.3, 26.4, 39.8, 61.7, 65.4, 66.9, 69.1, 74.8, 76.0, 102.2, 109.6, 137.8, 151.8, 163.0 ppm; MS (m/z): (M+Na)+, 335.16.
Figure 5. Structures 5b and 10.
(2S,5S)-5-[(1S)-1, 2-dihydroxyethyl]-2-(uracil-1-yl-methyl)-1,4-dioxane (7a)
The mixture of 5a and 6a (60mg, 5/6 ratio) was dissolved in methanol (10 mL), Amberlyst 15 (50 mg) was added and the mixture refluxed. The reaction was monitored by TLC until no more 7a was observed. The solution was filtered and the solvent was evaporated. The obtained product was further purified by flash chromatography to give pure 5a (12 mg, 34 %) and 8a (25 mg, 38 %) using CH2Cl2/MeOH (13:1) as eluent. The product 7a exhibited the following spectroscopic properties: 1H-NMR (CD3OD, 400 MHz): δ = 3.32-3.38 (m, 1H, H-3’), 3.47-3.55 (m, 2H, H-1” and H-2”), 3.55-3.67 (m, 4H, H-5’, H-2”, H-6’ and H-7’), 3.74-3.80 (m, 1H, H-2’), 3.82 (dd, 1H, J= 1.2 Hz, 10.4 Hz, H-6’), 3.88 (dd, 1H, J= 2.8 Hz, 8.4 Hz, H-3’), 3.91 (dd, 1H, J= 3 Hz, 11 Hz, H-7’), 5.61 (d, 1H, J= 8 Hz, H-5), 7.52 (d, 1H, J= 8 Hz, H-6) ppm; 13C-NMR (CD3OD, 100MHz): δ = 50.0, 63.7, 69.3, 69.7, 72.6, 74.4, 76.6, 101.8, 148.5, 153.0, 166.9 ppm; IR (neat): 3396, 2871, 1651, 1455, 1101, 1043 cm-1; HRMS (ESI) m/z: for C11H16N2O6 [M+Na]+, Calcd. 295.0906, Found 295.0911.
Figure 6. Structure 7a.
The product 8a exhibited the following spectroscopic properties: 1H-NMR (CD3OD, 400 MHz): δ = 3.34-3.43 (m, 2H), 3.46-3.54 (m, 4H), 3.57-3.74 (m, 8H), 3.75-3.86 (m, 6H), 3.87-3.90 (m, 1H), 3.92-3.96 (m, 1H), 4.05-4.10 (m, 1H), 5.70 (d, 1H, J= 7.8 Hz, NCH=CH), 7.52 (d, 1H, J= 7.8 Hz, NCH=CH) ppm; 13C-NMR (CD3OD, 100 MHz): δ = 42.8, 51.1, 63.7, 63.8, 69.3, 69.4, 69.7, 72.57, 72.61, 74.0, 74.4, 76.56, 76.57, 101.2, 146.8, 153.3, 165.6 ppm; MS (m/z): HRMS (ESI) m/z: for C18H28N2O10 [M+Na]+, Calcd. 455.1641, Found 455.1645.
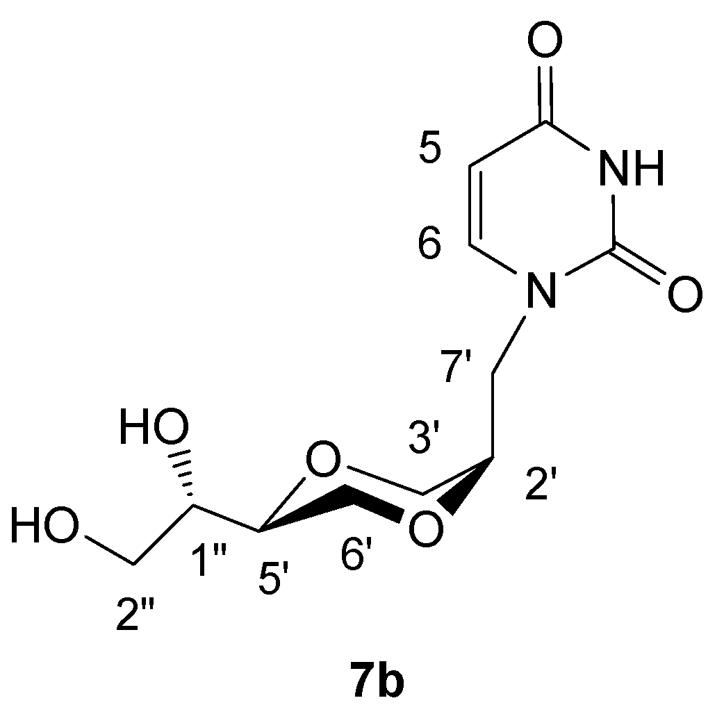
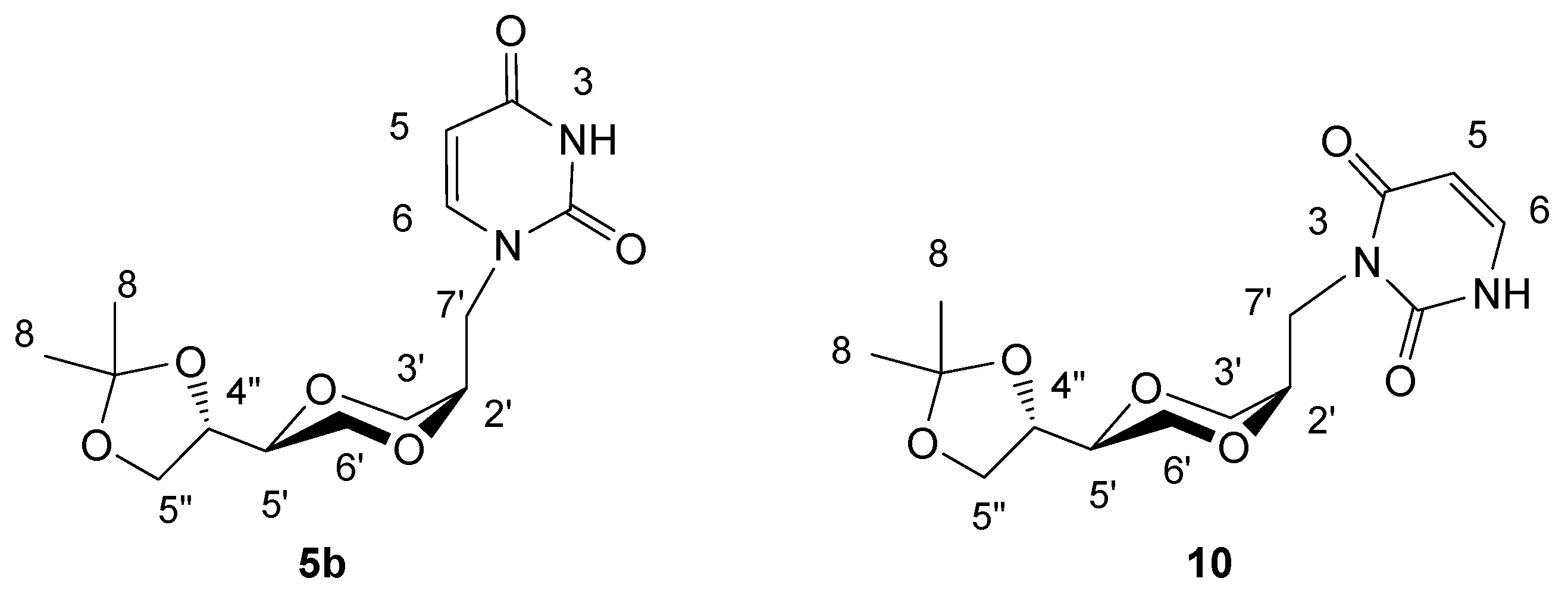
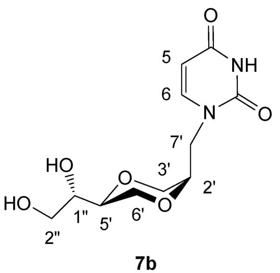
(2R,5S)-5-[(1S)-1,2-dihydroxyethyl]-2-(-uracil-1-yl-methyl)-1,4-dioxane (7b)
The method for preparation of 7b was as same as applied for the synthesis of 7a. The product 7b exhibited the following spectroscopic properties: 1H-NMR (CD3OD, 400 MHz): δ= 3.53-3.66 (m, 3H, H-2” and H-6’), 3.60-3.70 (m, 2H, H-1” and H-5’), 3.78-3.80 (m, 2H, H-3’), 3.80-3.92 (2H, H-2’ and H-7’), 4.00 (dd, 1H, J= 11.6 Hz, 8 Hz, H-2” or H-6’), 4.23-4.31 (m, 1H, H-7’), 5.65 (d, J= 8 Hz, H-5), 7.58 (d, J= 8 Hz, H-8) ppm; 13C-NMR (CD3OD, 100 MHz): δ= 166.8, 153.0, 147.9, 102.2, 76.4, 71.8, 71.5, 66.9, 63.9, 63.8, 48.2 ppm; IR (neat): 3352, 3056, 2931, 2875, 1667, 1456, 1129, 1101 cm-1; HRMS (ESI) m/z: for C11H16N2O6 [M+Na]+, Calcd. 295.0906, Found 295.0915.
Figure 7. Structure 7b.
(2S,5S)-5-[(4S)-2,2-dimethyl-1,3-dioxolan-4-yl]-2-(adenin-9-yl-methyl)-1,4-dioxane (11a)
A mixture of adenine (0.279 g, 2 mmol) and anhydrous potassium carbonate (0.300 g, 2.2 mmol) in dry DMF (10 mL) was heated at 120°C. After two hours, compound 4a (0.304 g, 0.9 mmol) was added to the solution. The mixture was stirred overnight at 120°C. The mixture was concentrated under reduced pressure and the residue purified by flash chromatography using a mixture of dichloromethane and methanol (14:1) as the eluent. The product (130 mg) was obtained in 42 % yield. The product 11a exhibited the following spectroscopic properties: 1H-NMR (CDCl3, 400 MHz): δ= 8.35 (s, 1H, H-2), 7.88 (s, 1H, H-8), 5.75 (s, 2H, NH2), 4.29 (dd, 1H, J= 14.6 Hz, 3.4 Hz, H-7’), 4.12 (dd, 1H, J= 14.6 Hz, 6.8 Hz, H-7’), 4.01- 4.07 (m, 1H, H-4”), 3.97 (dd, J= 11.4 Hz, 2.6 Hz, H-3’eq), 3.87-3.95 (m, 2H, H-2’, H-5”), 3.75-3.82 (m, 2H, H-5”, H-6’), 3.46-3.57 (m, 2H, H-5’, H-6’), 3.32 (dd, J= 11.4 Hz, 10.6 Hz, H-3’ax), 1.39 (s, 1H, H-10), 1.33 (s, 1H, H-10) ppm. 13C-NMR (CDCl3, 100 MHz): δ= 155.6, 153.2, 150.4, 141.6, 141.1, 119.4, 109.7, 75.1, 74.9, 73.2, 68.5, 67.5, 65.0, 44.2, 26.2, 25.3 ppm; IR (neat): 3322, 3161, 2983, 2938, 2864, 1673, 1606, 1064, 1048 cm-1; HRMS (ESI) m/z: for C15H22N5O4 M+, Calcd. 336.1671, Found 336.1676.
Figure 8. Structure 11a.
(2R,5S)-5-[(4S)-2,2-dimethyl-1,3-dioxolan-4-yl]-2-(adenin-9-yl-methyl)-1,4-dioxane (11b)
Synthesis of 11b was carried out as described for 11a. The product exhibited the following spectroscopic properties: 1H-NMR (CDCl3, 400 MHz): δ= 8.35 (s, 1H, H-2), 7.87 (s, 1H, H-8), 6.14 (s, 2H, NH2), 4.54 (dd, 1H, J= 14.8 Hz, 8.8 Hz, H-7’), 4.32-4.38 (m, 2H, H-4”, H-7’), 4.06- 4.11 (m, 1H, H-2’), 4.05 (dd, J= 8.4 Hz, 6.6 Hz, H-5”), 3.80-3.90 (m, 3H, H-3’, H-6’), 3.77 (dd, J= 8.4 Hz, 6.8 Hz, H-5”), 3.61-3.67 (m, 2H, H-5’, H-6’), 1.46 (s, 1H, H-10), 1.39 (s, 1H, H-10) ppm; 13C-NMR (CDCl3, 100 MHz): δ= 155.7, 153.1, 150.1, 140.9, 119.4, 109.9, 74.6, 73.8, 71.1, 65.6, 65.1, 63.0, 42.8, 26.5, 25.4 ppm; IR (neat): 3276, 3134, 2984, 2935, 2870, 1676, 1600, 1575, 1126, 1066 cm-1; HRMS (ESI) m/z: for C15H22N5O4 M+, Calcd. 336.1671, Found 336.1675.
Figure 9. Structure 11b.
(2S,5S)-5-[(1S)-1,2-dihydroxyethyl]-2-(adenin-9-yl-methyl)-1,4-dioxane (12a)
Compound 11a (108 mg, 0.32 mmol) was dissolved in methanol (10 mL), Amberlyst 15 (45 mg) was added and the mixture was refluxed until TLC showed that all 11a was consumed. The solution was filtered and the solvent was evaporated. The product 12a (81 mg, 85 %) exhibited the following spectroscopic properties: 1H-NMR (DMSO-d6, 400 MHz): δ= 8.17 (s, 1H, H-2), 8.08 (s, 1H, H-8), 7.35 (brs, 2H, NH2), 4.3-4.8 (brs, 2H, OH), 4.21 (dd, 1H, J= 14.4 Hz, 4.2 Hz, H-7’), 4.13 (dd, 1H, J= 14.4 Hz, 6.8 Hz, H-7’), 3.83-3.88 (m, 2H, H-2’, H-3’), 3.67-3.73 (m, 1H, H-6’), 3.17-3.48 (m, 6H, H-6’, H-5’, H-3’, H-1”, H-2”) ppm; 13C-NMR (DMSO-d6, 100 MHz): δ= 155.5, 151.9, 149.6, 141.6, 118.4, 75.2, 72.6, 70.8, 68.1, 67.5, 61.9, 43.7 ppm; IR (neat): 3271, 3117, 2918, 2881, 1668, 1604, 1120, 1106, 1066 cm-1; HRMS (ESI) m/z: for C12H17N5O4 [M+1]+, Calcd. 296.1358, Found 296.1356.
Figure 11. Structure 12a.
(2R,5S)-5-[(1S)-1,2-dihydroxyethyl]-2-(adenin-9-yl-methyl)-1,4-dioxane (12b)
Compound 12b was prepared using the same method as described for the synthesis of 12a. Thus, 11b (79 mg, 0.24 mmol) in methanol (10 mL) containing added Amberlyst-15 (36 mg) was refluxed until TLC showed that all 11b was consumed. The solution was filtered and the solvent was evaporated. The product 12b (49 mg, 70%) exhibited the following spectroscopic properties: 1H-NMR (DMSO-d6, 400 MHz): δ= 8.16 (s, 1H, H-2 or H-8), 8.15 (s, 1H, H-8 or H-2), 7.30 (brs, 2H, NH2), 4.69 (dd, 1H, J= 14.4 Hz, 9.6 Hz, H-7’), 4.22 (dd, 1H, J= 14.4 Hz, 4.2 Hz, H-7’), 4.00-4.05 (m, 1H, H-2’), 3.92-3.98 (m, 1H, H-2” or H-6’), 3.78 (dd, 1H, J = 12.2 Hz, 2.2 Hz, H-3’), 3.69 (dd, 1H, J= 12.2 Hz, 3.2 Hz, H-3’), 3.34-3.56 (m, 5H, remining protons) ppm; 13C-NMR (DMSO-d6, 100MHz): δ= 155.7, 152.0, 149.6, 141.3, 118.5, 75.5, 70.4, 69.6, 65.6, 62.2, 61.4, 40.6 ppm; IR (neat): 3271, 3125, 2883, 1674, 1604, 1119, 1065 cm-1; HRMS (ESI) m/z: for C12H17N5O4 [M+1]+, Calcd. 296.1358, Found 296.1355.
Figure 10. Structure 12b.

Acknowledgements

The authors wish to thank the Norwegian Research Council, NFR, for financial support. We will also thank Professor E. Uggerud, University of Oslo, for performing the mass spectrometric measurements.

References and Notes

  1. Ichikawa, E.; Kato, K. Sugar-modified nucleosides in past 10 years, a review. Curr. Med. Chem. 2001, 8, 385–423. [Google Scholar] [CrossRef]
  2. Crimmins, M.T. New developments in the enantioselective synthesis of cyclopentyl carbocyclic nucleosides. Tetrahedron 1998, 54, 9229–9272. [Google Scholar]
  3. Huryn, D.M.; Okabe, M. AIDS-driven nucleoside chemistry. Chem. Rev. 1992, 92, 1745–1768. [Google Scholar] [CrossRef]
  4. Hossain, N.; Blaton, N.; Peeters, O.; Rozenski, J.; Herdewijn, P.A. Synthesis of homo-N-nucleosides , a series of C1' branched-chain nucleosides. Tetrahedron 1996, 52, 5563–5578. [Google Scholar] [CrossRef]
  5. Hossain, N.; Hendrix, C.; Lescrinier, E.; Van Aerschot, A.; Busson, R.; De Clercq, E.; Herdewijn, P. Homo-N-nucleosides: incorporation into oligonucleotides and antiviral activity. Bioorg. Med. Chem. Lett. 1996, 6, 1465–1468. [Google Scholar] [CrossRef]
  6. Franzyk, H.; Rasmussen, J.H.; Mazzei, R.A.; Jensen, S.R. Synthesis of carbocyclic homo-N -nucleosides from iridoids. Eur. J. Org. Chem. 1998, 12, 2931–2935. [Google Scholar]
  7. Chun, M.W.; Kim, J.H.; Kim, M.J.; Kim, B.R.; Jeong, L.S. Synthesis of homo-N-nucleoside with 1,2,4-triazole-3-carboxamide. Nucleosides Nucleotides Nucleic Acid 2005, 24, 979–981. [Google Scholar] [CrossRef]
  8. Saladino, R.; Ciambecchini, U.; Hanessian, S. Synthesis of 1'-homo-N-nucleosides from hexitols. Eur. J. Org. Chem. 2003, 22, 4401–4405. [Google Scholar]
  9. Yu, Q.; Kaffernik, S.; Carlsen, P. Synthesis of Optically Active 1,4-Dioxane Nucleotide Analogs. Synth. Commun. 2008, 38, 4250–4264. [Google Scholar] [CrossRef]
  10. Baskaran, S.; Aurich, H.G.; Biesemeier, F.; Harms, K. Cycloadducts from highly functionalized nitrones and oximes as ligands in the enantioselective addition of diethylzinc to benzaldehyde. J. Chem. Soc., PerkinTrans. 1 1998, 22, 3717–3724. [Google Scholar]
  11. Nagashima, N.; Ohno, M. Selective monoalkylation of acyclic diols by means of dibutyltin oxide and fluoride salts. Chem. Pharm. Bull. 1991, 39, 1972–1982. [Google Scholar]
  12. Nagashima, N.; Ohno, M. An efficient O-monoalkylation of dimethyl L-tartrate via O-stannylene acetal with alkyl halides in the presence of cesium fluoride. Chemistry Lett. 1987, 1, 141–144. [Google Scholar] [CrossRef]
  13. Marshall, J.A.; Andersen, N.H.; Hochstetler, A.R. Reduction of malonic enolates with lithium aluminum hydride. J. Org. Chem. 1967, 32, 113–118. [Google Scholar]
  14. Shi, M.; Jiang, J.-K.; Feng, Y-S. Chiral C2-symmetric 2,3-disubstituted aziridine and 2,6-disubstituted piperidine as chiral ligands in the addition reaction of diethylzinc with arylaldehydes. Tetrahedron Asymmetry 2000, 11, 4923–4933. [Google Scholar] [CrossRef]
  15. Marshall, J.A.; Beaudion, S. Stereoselective Synthesis of Higher Sugars by Homologation of Carbohydrate-Derived Enals with Nonracemic γ-(Silyloxy) Allylic Stannanes and Substrate-Directed Hydroxylation. J. Org. Chem. 1994, 59, 6614–6619. [Google Scholar] [CrossRef]
  16. Albizati, K.F.; Babu, S.; Birchler, A.; Busse, J.K.; Fugett, M.; Grubbs, A.; Haddach, A.; Pagan, M.; Potts, B.; Remarchuk, T.; Rieger, D.; Rodrigues, R.; Shanley, J.; Szendroi, R.; Tobbetts, T.; Whitten, K.; Borer, B.C. A synthesis of the HIV-protease inhibitor nelfinavir from D-tartaric acid. Tetrahedron Lett. 2001, 42, 6481–6485. [Google Scholar] [CrossRef]
  17. Takano, S.; Kurotaki, A.; Sekiguchi, Y.; Satoh, S.; Hirama, M.; Ogasawara, K. Selective manipulation of hydroxy groups in (2S,3S)-threitol. Synthesis 1986, 10, 811–817. [Google Scholar]
  18. Macritchie, J.A.; Peakman, T.M.; Silcock, A.; Willis, C.L. Iodocyclisation studies on unsaturated α-Hydroxy esters. Tetrahedron Lett. 1998, 39, 7415–7418. [Google Scholar] [CrossRef]
  19. Bedford, S.B.; Bell, K.E.; Bennett, F. Model studies of the overall 5-endo-trig iodo-cyclization of homoallylic alcohols. J. Chem. Soc., Perkin Trans. 1 1999, 15, 2143–2153. [Google Scholar] [CrossRef]
  20. Allin, S.M.; Baird, R.D.; Lins, R.J. Synthetic applications of the amino-Cope rearrangement: enantioselective synthesis of some tetrahydropyrans. Tetrahedron Lett. 2002, 43, 4195–4197. [Google Scholar] [CrossRef]
  21. Greeves, N.; Lee, W.; Barkley, J.V. Synthetic applications (II) of the tandem [2,3]-Wittig-anionic oxy-Cope rearrangement: stereoselective trisubstituted-lactone and tetrahydropyran synthesis. Tetrahedron Lett. 1997, 38, 6453–6456. [Google Scholar] [CrossRef]
  22. Martinez, A.P.; Lee, W.W. Improved synthesis of willardiine and 1-(2,2-diethoxyethyl)-uracil. J. Org. Chem. 1965, 30, 317–318. [Google Scholar] [CrossRef]
  23. Ahn, H.; Choi, T.H.; Castro, K.D. Synthesis and Evaluation of cis-1-[4-(Hydroxymethyl)-2-cyclopenten-1-yl]-5-[124I]iodouracil: A New Potential PET Imaging Agent for HSV1-tk Expression. J. Med. Chem. 2007, 50, 6032–6038. [Google Scholar] [CrossRef]
  24. Joshi, R.V.; Zemlicka, J. Alkylation of adenine with tert-propargyl chlorides: acetylene / allene ratio and N9/N7 regioselectivity. Tetrahedron 1993, 49, 2353–2360. [Google Scholar] [CrossRef]
  25. Doel, M.T.; Jones, A.S.; Taylor, N. Approach to the synthesis of peptide analogs of oligonucleotides (nucleopeptides). Tetrahedron Lett. 1969, 27, 2285–2288. [Google Scholar] [CrossRef]
  • Sample Availability: Selected samples are available from the authors.

Article Metrics

Citations

Article Access Statistics

Multiple requests from the same IP address are counted as one view.