An Encryption Algorithm for Region of Interest in Medical DICOM Based on One-Dimensional eλ-cos-cot Map
Abstract
:1. Introduction
- (1)
- The 1D--cos-cot (1D-ECC) chaotic map is proposed and the performance of the map is tested and analyzed, which has a wider range of control parameters. When compared to a traditional 1D chaotic system, this system has better real-time performance and chaotic behavior.
- (2)
- A key generation model based on DICOM (Digital Imaging and Communications in Medicine) file information is proposed, and the initial values and control parameters of the 1D -cos-cot map (1D-ECC) chaotic map are generated using this model to further generate the keystream and expand the key space.
- (3)
- A new 1D -cos-cot map (1D-ECC) medical image region of the interest-based encryption algorithm is proposed, and the simulation and security evaluation results show that the algorithm has high security and can resist common attacks.
2. 1D--cos-cot Map
2.1. Logistic Chaotic Map and Sine Map
2.2. 1D--cos-cot Map
2.3. Performance Analysis
2.3.1. Bifurcation Diagram
2.3.2. Lyapunov Exponent
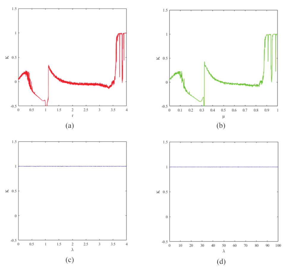
2.3.3. 0–1 Test
2.3.4. Sample Entropy
3. DICOM File-Based Key Generation Model with 1D-ECC Chaotic Map
3.1. Introduction of DICOM
- (1)
- DICOM Tag: the identification of the information stored.
- (2)
- VR (value representation): store the data type describing the information.
- (3)
- Value length: store the length of the data describing the information.
- (4)
- Value: store the data value describing the information.
3.2. Key Generation
- (1)
- : SOP Instance UID (Instance UID number); UID form is a string used to uniquely identify various different information objects in the DICOM standard, such as the value representation type of data elements, DICOM abstract syntax name, transmission syntax, application context name to ensure uniqueness in various different countries, regions, manufacturers, and equipment use.
- (2)
- : Patient’s Name.
- (3)
- : Patient Date of Birth (the patient’s date of birth).
- (4)
- : Patient ID (patient’s ID).
- (5)
- : Image Date (image date).
- (6)
- : Accession Number (registration number).
3.3. Generation of Chaotic Sequences
4. Selection of Region of Interest Blocks
4.1. Target Threshold Segmentation
- (1)
- Dividing the number of gray levels of an image into two parts by gray level, such that the difference in gray values between two parts is the largest and the difference in gray levels between each part is the smallest.
- (2)
- Finding a suitable gray level to divide by the calculation of a variance.
- (3)
- The traversal method is used to obtain the threshold t that maximizes the variance between classes, and t is the desired target threshold.
4.2. Selection of Region of Interest
5. Region of Interest Encryption and Decryption Algorithm
5.1. Encryption Algorithm
5.1.1. Scrambling Stage
5.1.2. Diffusion Stage
5.2. Decryption Algorithm
6. Simulation Results and Safety Analysis
6.1. Simulation Results
6.2. Key Space Analysis
6.3. Key Sensitivity Analysis
6.4. Histogram Analysis
6.5. Correlation Analysis
6.6. Information Entropy Analysis
6.7. Differential Attacks Analysis
6.8. Select Plaintext/Ciphertext Attack Analysis
6.9. Robustness Analysis
6.10. Speed Analysis
7. Conclusions
Author Contributions
Funding
Institutional Review Board Statement
Informed Consent Statement
Data Availability Statement
Acknowledgments
Conflicts of Interest
References
- Chen, G.; Mao, Y.; Chui, C.K. A symmetric image encryption scheme based on 3D chaotic cat maps. Chaos Solitons Fractals 2004, 21, 749–761. [Google Scholar] [CrossRef]
- Zhang, Y. A new unified image encryption algorithm based on a lifting transformation and chaos. Inf. Sci. 2021, 547, 307–327. [Google Scholar] [CrossRef]
- Wang, X.; Zhang, M. An image encryption algorithm based on new chaos and diffusion values of a truth table. Inf. Sci. 2021, 579, 128–149. [Google Scholar] [CrossRef]
- Xue, H.W.; Du, J.; Li, S.L.; Ma, W.J. Region of interest encryption for color images based on a hyperchaotic system with three positive Lyapunov exponets. Opt. Laser Technol. 2018, 106, 506–516. [Google Scholar] [CrossRef]
- Liu, L.; Jiang, D.; Wang, X.; Rong, X.; Zhang, R. 2d logistic-adjusted-chebyshev map for visual color image encryption. J. Inf. Secur. Appl. 2021, 60, 102854. [Google Scholar] [CrossRef]
- Ye, G.; Pan, C.; Dong, Y.; Shi, Y.; Huang, X. Image encryption and hiding algorithm based on compressive sensing and random numbers insertion. Signal Process. 2020, 172, 107563. [Google Scholar] [CrossRef]
- Balasamy, K.; Suganyadevi, S. A fuzzy based ROI selection for encryption and watermarking in medical image using DWT and SVD. Multimed. Tools Appl. 2021, 80, 7167–7186. [Google Scholar] [CrossRef]
- Wang, C.; Wang, X.; Xia, Z.; Ma, B.; Shi, Y.Q. Image description with polar harmonic Fourier moments. IEEE Trans. Circuits Syst. Video Technol. 2019, 30, 4440–4452. [Google Scholar] [CrossRef]
- Maddodi, G.; Awad, A.; Awad, D.; Awad, M.; Lee, B. A new image encryption algorithm based on heterogeneous chaotic neural network generator and dna encoding. Multimed. Tools Appl. 2018, 77, 24701–24725. [Google Scholar] [CrossRef] [Green Version]
- Ye, G. A block image encryption algorithm based on wave transmission and chaotic systems. Nonlinear Dyn. 2014, 75, 417–427. [Google Scholar] [CrossRef]
- Xu, Q.; Sun, K.; He, S.; Zhu, C. An effective image encryption algorithm based on compressive sensing and 2D-SLIM. Opt. Lasers Eng. 2020, 134, 106178. [Google Scholar] [CrossRef]
- Ouyang, X.; Luo, Y.; Liu, J.; Cao, L.; Liu, Y. A color image encryption method based on memristive hyperchaotic system and DNA encryption. Int. J. Mod. Phys. B 2020, 34, 2050014. [Google Scholar] [CrossRef]
- He, S.; Sun, K.; Peng, Y. Detecting chaos in fractional-order nonlinear systems using the smaller alignment index. Phys. Lett. A 2019, 383, 2267–2271. [Google Scholar] [CrossRef]
- Lai, Q.; Kuate, P.D.K.; Liu, F.; Iu, H.H.C. An extremely simple chaotic system with infinitely many coexisting attractors. IEEE Trans. Circuits Syst. II Express Briefs 2019, 67, 1129–1133. [Google Scholar] [CrossRef]
- He, S.; Sun, K.; Wang, H. Dynamics and synchronization of conformable fractional-order hyperchaotic systems using the Homotopy analysis method. Commun. Nonlinear Sci. Numer. Simul. 2019, 73, 146–164. [Google Scholar] [CrossRef]
- Kassem, A.; Hassan, H.A.H.; Harkouss, Y.; Assaf, R. Efficient neural chaotic generator for image encryption. Digit. Signal Process. 2014, 25, 266–274. [Google Scholar] [CrossRef]
- Pak, C.; Huang, L. A new color image encryption using combination of the 1D chaotic map. Signal Process. 2017, 138, 129–137. [Google Scholar] [CrossRef]
- Alawida, M.; Samsudin, A.; Teh, J.S.; Alkhawaldeh, R.S. A new hybrid digital chaotic system with applications in image encryption. Signal Process. 2019, 160, 45–58. [Google Scholar] [CrossRef]
- Xu, Q.; Sun, K.; Cao, C.; Zhu, C. A fast image encryption algorithm based on compressive sensing and hyperchaotic map. Opt. Lasers Eng. 2019, 121, 203–214. [Google Scholar] [CrossRef]
- Xingyuan, W.; Bing, X.; Huaguang, Z. A multi-ary number communication system based on hyperchaotic system of 6th-order cellular neural network. Commun. Nonlinear Sci. Numer. Simul. 2010, 15, 124–133. [Google Scholar] [CrossRef]
- Di, X.; Li, J.; Qi, H.; Cong, L.; Yang, H. A semi-symmetric image encryption scheme based on the function projective synchronization of two hyperchaotic systems. PLoS ONE 2017, 12, e0184586. [Google Scholar] [CrossRef] [PubMed] [Green Version]
- Li, J.; Sheng, Y.; Di, X.; Mu, Y. Range-gated laser image compression and encryption scheme based on bidirectional diffusion. Optoelectron. Lett. 2021, 17, 630–635. [Google Scholar] [CrossRef]
- Jiang, D.; Liu, L.; Zhu, L.; Wang, X.; Rong, X.; Chai, H. Adaptive embedding: A novel meaningful image encryption scheme based on parallel compressive sensing and slant transform. Signal Process. 2021, 188, 108220. [Google Scholar] [CrossRef]
- Zhu, S.; Zhu, C.; Fu, Y.; Zhang, W.; Wu, X. A secure image encryption scheme with compression-confusion-diffusion structure. Multimed. Tools Appl. 2020, 79, 31957–31980. [Google Scholar] [CrossRef]
- Ou, Y.; Sur, C.; Rhee, K.H. Region-based selective encryption for medical imaging. In Proceedings of the International Workshop on Frontiers in Algorithmics; Springer: Berlin/Heidelberg, Germany, 2007; pp. 62–73. [Google Scholar]
- Panduranga, H.T.; Naveenkumar, S.K. Selective image encryption for medical and satellite images. Int. J. Eng. Technol. 2013, 5, 115–121. [Google Scholar]
- Panduranga, H.T.; Naveenkumar, S.K. Partial image encryption using block wise shuffling and chaotic map. In Proceedings of the International Conference on Optical Imaging Sensor and Security ICOSS), Coimbatore, India, 2–3 July 2013; pp. 1–5. [Google Scholar]
- Liu, Y.; Qu, X.; Xin, G. A ROI-based reversible data hiding scheme in encrypted medical images. J. Vis. Commun. Image Represent. 2016, 39, 51–57. [Google Scholar] [CrossRef]
- Das, S.; Kundu, M.K. Effective management of medical information through ROI-lossless fragile image watermarking technique. Comput. Methods Programs Biomed. 2013, 111, 662–675. [Google Scholar] [CrossRef] [PubMed]
- Yuan, L.; Ebrahimi, T. Image privacy protection with secure JPEG transmorphing. IET Signal Process. 2017, 11, 1031–1038. [Google Scholar] [CrossRef] [Green Version]
- Fotopoulos, V.; Stavrinou, M.L.; Skodras, A.N. Authentication and self-correction in sequential MRI slices. J. Digit. Imaging 2011, 24, 943–949. [Google Scholar] [CrossRef] [Green Version]
- Zhang, S.; Gao, T.; Gao, L. A novel encryption frame for medical image with watermark based on hyperchaotic system. Math. Prob. Eng. 2014, 2014, 240749. [Google Scholar] [CrossRef]
- Prabhavathi, K.; Sathisha, C.P.; Ravikumar, K.M. Region of interest based selective medical image encryption using multi Chaotic system. In Proceedings of the International Conference on Electrical, Electronics, Communication, Computer, and Optimization Techniques (ICEECCOT), Mysuru, India, 15–16 December 2017; pp. 1–5. [Google Scholar] [CrossRef]
- Wen, W.; Zhang, Y.; Fang, Z.; Chen, J.X. Infrared target-based selective encryption by chaotic maps. Opt. Commun. 2015, 134, 131–139. [Google Scholar] [CrossRef]
- Kanso, A.; Ghebleh, M. An efficient and robust image encryption scheme for medical applications. Commun. Nonlinear Sci. Numer. Simul. 2015, 24, 98–116. [Google Scholar] [CrossRef]
- Zhou, J.; Li, J.; Di, X. A novel lossless medical image encryption scheme based on game theory with optimized ROI parameters and hidden ROI position. IEEE Access 2020, 8, 122210–122228. [Google Scholar] [CrossRef]
- Zhou, W.; Wang, X.; Wang, M.; Li, D. A new combination chaotic system and its application in a new Bit-level image encryption scheme. Opt. Lasers Eng. 2022, 149, 106782. [Google Scholar] [CrossRef]
- Wolf, A.; Swift, J.B.; Swinney, H.L.; Vastano, J.A. Determining Lyapunov exponents from a time series. Phys. D Nonlinear Phenom. 1985, 16, 285–317. [Google Scholar] [CrossRef] [Green Version]
- Talhaoui, M.Z.; Wang, X. A new fractional one dimensional chaotic map and its application in high-speed image encryption. Information Sciences 2021, 550, 13–26. [Google Scholar] [CrossRef]
- Richman, J.S.; Moorman, J.R. Physiological time-series analysis using approximate entropy and sample entropy. Am. J. Physiol.-Heart Circ. Physiol. 2000, 278, H2039–H2049. [Google Scholar] [CrossRef] [Green Version]
- Agarwal, R.P.; Bazighifan, O.; Ragusa, M.A. Nonlinear neutral delay differential equations of fourth-order: Oscillation of solutions. Entropy 2021, 23, 129. [Google Scholar] [CrossRef]
- Deressa, C.T.; Etemad, S.; Kaabar, M.K.A.; Rezapour, S. Qualitative analysis of a hyperchaotic Lorenz-Stenflo mathematical model via the Caputo fractional operator. J. Funct. Spaces 2022, 2022, 4975104. [Google Scholar] [CrossRef]
- Mildenberger, P.; Eichelberg, M.; Martin, E. Introduction to the DICOM standard. Eur. Radiol. 2002, 12, 920–927. [Google Scholar] [CrossRef]
- Otsu, N. A threshold selection method from gray-level histograms. IEEE Trans. Syst. Man Cybern. 1979, 9, 62–66. [Google Scholar] [CrossRef] [Green Version]
- Alvarez, G.; Li, S. Some basic cryptographic requirements for chaos-based cryptosystems. Int. J. Bifurc. Chaos 2006, 16, 2129–2151. [Google Scholar] [CrossRef] [Green Version]
- Zhou, Y.; Li, C.; Li, W.; Li, H.; Feng, W.; Qian, K. Image encryption algorithm with circle index table scrambling and partition diffusion. Nonlinear Dyn. 2021, 103, 2043–2061. [Google Scholar] [CrossRef]
- Liu, X.; Tong, X.; Wang, Z.; Zhang, M. A new n-dimensional conservative chaos based on Generalized Hamiltonian System and its’ applications in image encryption. Chaos Solitons Fractals 2022, 154, 111693. [Google Scholar] [CrossRef]
- Midoun, M.A.; Wang, X.; Talhaoui, M.Z. A sensitive dynamic mutual encryption system based on a new 1D chaotic map. Opt. Lasers Eng. 2021, 139, 106485. [Google Scholar] [CrossRef]
- Naeem, E.A.; Abd Elnaby, M.M.; Soliman, N.F.; Abbas, A.M.; Faragallah, O.S.; Semary, N. Efficient implementation of chaotic image encryption in transform domains. J. Syst. Softw. 2014, 97, 118–127. [Google Scholar] [CrossRef]
- Ahmad, J.; Larijani, H.; Emmanuel, R.; Mannion, M. Secure occupancy monitoring system for iot using lightweight intertwining logistic map. In Proceedings of the 2018 10th Computer Science and Electronic Engineering (CEEC), Essex, UK, 19–21 September 2018; pp. 208–213. [Google Scholar] [CrossRef]
- Masood, F.; Driss, M.; Boulila, W.; Ahmad, J.; Rehman, S.U.; Jan, S.U.; Buchanan, W.J. A lightweight chaos-based medical image encryption scheme using random shuffling and XOR operations. Wireless Personal Communications 2021, 97, 1–28. [Google Scholar] [CrossRef]
- Wu, Y.; Noonan, J.P.; Agaian, S. NPCR and UACI randomness tests for image encryption, Cyber journals: Multidisciplinary journals in science and technology. J. Sel. Areas Telecommun. (JSAT) 2011, 1, 31–38. [Google Scholar]
- Man, Z.; Li, J.; Di, X.; Sheng, Y.; Liu, Z. Double image encryption algorithm based on neural network and chaos. Chaos Solitons Fractals 2021, 152, 111318. [Google Scholar] [CrossRef]
- Ahmad, M.; Agarwal, S.; Alkhayyat, A.; Alhudhaif, A.; Alenezi, F.; Zahid, A.H.; Aljehane, N.O. An image encryption algorithm based on new generalized fusion fractal structure. Inf. Sci. 2022, 592, 1–20. [Google Scholar] [CrossRef]
- Liu, L.; Miao, S. A new simple one-dimensional chaotic map and its application for image encryption. Multimed. Tools Appl. 2018, 77, 21445–21462. [Google Scholar] [CrossRef]
- Chai, X.; Gan, Z.; Zhang, M. A fast chaos-based image encryption scheme with a novel plain image-related swapping block permutation and block diffusion. Multimed. Tools Appl. 2017, 76, 15561–15585. [Google Scholar] [CrossRef]


















| Test | Key1 | Key2 | Key3 | Key4 | Key5 | Key6 |
|---|---|---|---|---|---|---|
| NPCR (%) | 99.9985 | 99.9985 | 99.9938 | 99.9977 | 99.9977 | 99.9969 |
| UACI (%) | 33.3528 | 33.3331 | 33.1994 | 33.3201 | 33.3564 | 31.8352 |
| Image | Horizontal | Vertical | Diagonal |
|---|---|---|---|
| MRI Brain | −0.0077 | −0.0030 | 0.0004 |
| CT Brain | −0.0001 | −0.0097 | −0.0038 |
| CT Abdomen | 0.0009 | −0.0010 | −0.0013 |
| CT Lung | −0.0080 | 0.0010 | −0.0074 |
| Ref. [49] | 0.0193 | −0.0154 | 0.0032 |
| Ref. [50] | −0.0394 | −0.0194 | −0.0223 |
| Image | Image Size | Plaintext Images | Ciphertext Images | Ciphertext Image (8 bits) |
|---|---|---|---|---|
| MRI Brain | 320 × 320 | 6.3125 | 15.0135 | 7.9981 |
| CT Brain | 512 × 512 | 6.3125 | 15.6177 | 7.9993 |
| CT Abdomen | 512 × 512 | 6.3125 | 15.3090 | 7.9993 |
| CT Lung | 512 × 512 | 6.3125 | 15.5872 | 7.9992 |
| Ref. [36] | 512 × 512 | 6.3125 | 15.3083 | 7.9992 |
| Ref. [4] | 512 × 512 | 6.3125 | - | 7.9989 |
| Ref. [51] | 512 × 512 | 6.3125 | - | 7.9986 |
| Test | CT Abdomen | CT Lung | CT Brain | MRI Brain |
|---|---|---|---|---|
| NPCR (%) | 99.9985 | 99.9974 | 99.9983 | 99.9982 |
| UACI (%) | 33.3281 | 33.2819 | 33.3566 | 33.2931 |
| Noise Attack | PSNR |
|---|---|
| SPN 0.000001 | |
| SPN 0.00001 | 50.9532 |
| SPN 0.00005 | 45.3259 |
| SN 0.000001 | |
| SN 0.000003 | 65.2320 |
| SN 0.000005 | 44.7703 |
| Image | Image Size | Full Encryption | ROI Encryption | t | The Number of ROI | Encryption Throughput |
|---|---|---|---|---|---|---|
| MRI Brain | 320 × 320 | 0.141 s | 0.015 s | 55 | 54,144 | 55.08 |
| CT Lung | 512 × 512 | 0.190 s | 0.023 s | 53 | 78,656 | 52.18 |
| CT Abdomen | 512 × 512 | 0.189 s | 0.037 s | 66 | 130,336 | 53.75 |
| CT Brain | 512 × 512 | 0.181 s | 0.031 s | 45 | 116,784 | 57.48 |
| Ref. [36] | 512 × 512 | 0.186 s | 0.120 s | 70 | 39,168 | 4.98 |
| Ref. [36] | 320 × 320 | 0.186 s | 0.120 s | 70 | 39,168 | 4.98 |
| Ref. [54] | 256 × 256 | 0.010 s | - | - | - | 50 |
| Ref. [55] | 512 × 512 | 0.287 s | - | - | - | 6.9 |
| Ref. [56] | 512 × 512 | 1.26 s | - | - | - | 1.58 |
Publisher’s Note: MDPI stays neutral with regard to jurisdictional claims in published maps and institutional affiliations. |
© 2022 by the authors. Licensee MDPI, Basel, Switzerland. This article is an open access article distributed under the terms and conditions of the Creative Commons Attribution (CC BY) license (https://creativecommons.org/licenses/by/4.0/).
Share and Cite
Meng, X.; Li, J.; Di, X.; Sheng, Y.; Jiang, D. An Encryption Algorithm for Region of Interest in Medical DICOM Based on One-Dimensional eλ-cos-cot Map. Entropy 2022, 24, 901. https://doi.org/10.3390/e24070901
Meng X, Li J, Di X, Sheng Y, Jiang D. An Encryption Algorithm for Region of Interest in Medical DICOM Based on One-Dimensional eλ-cos-cot Map. Entropy. 2022; 24(7):901. https://doi.org/10.3390/e24070901
Chicago/Turabian StyleMeng, Xin, Jinqing Li, Xiaoqiang Di, Yaohui Sheng, and Donghua Jiang. 2022. "An Encryption Algorithm for Region of Interest in Medical DICOM Based on One-Dimensional eλ-cos-cot Map" Entropy 24, no. 7: 901. https://doi.org/10.3390/e24070901
APA StyleMeng, X., Li, J., Di, X., Sheng, Y., & Jiang, D. (2022). An Encryption Algorithm for Region of Interest in Medical DICOM Based on One-Dimensional eλ-cos-cot Map. Entropy, 24(7), 901. https://doi.org/10.3390/e24070901

