Impact of Thermal Fluctuations on Logarithmic Corrected Massive Gravity Charged Black Hole
Abstract
:1. Introduction
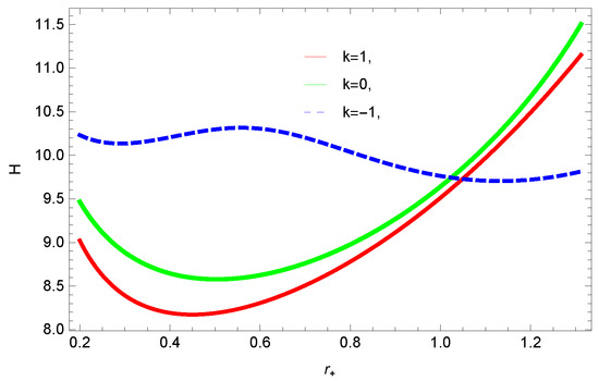
2. Thermal Corrections of Logarithmic Charged Black Hole in Massive Gravity
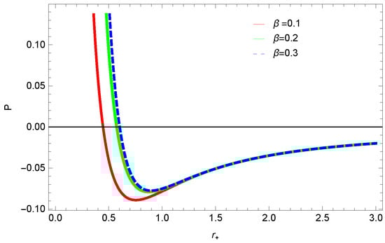
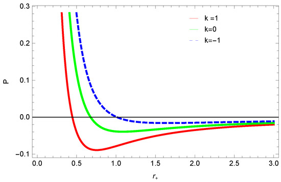
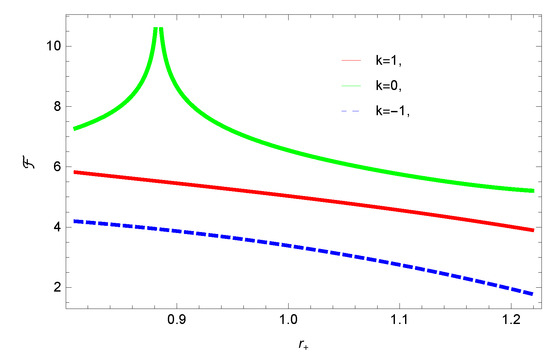
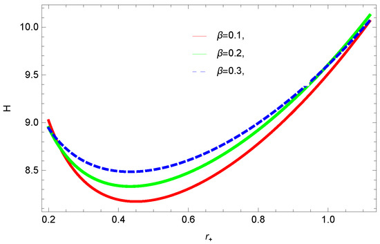
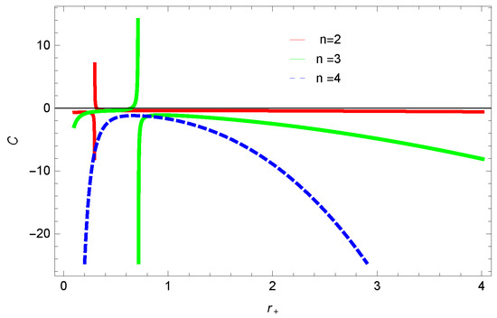
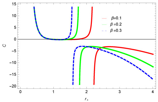
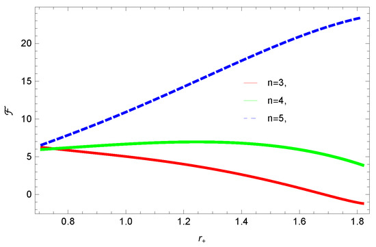
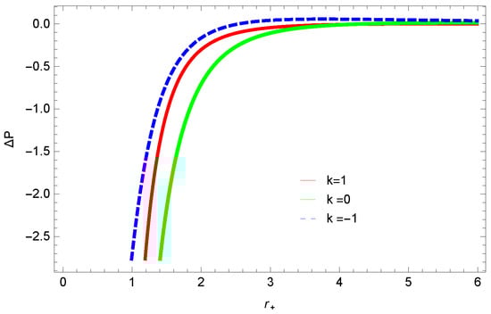
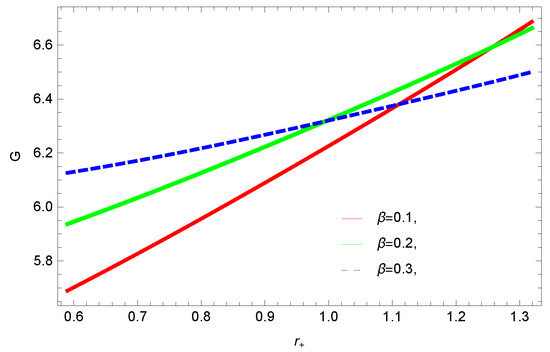
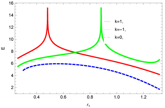
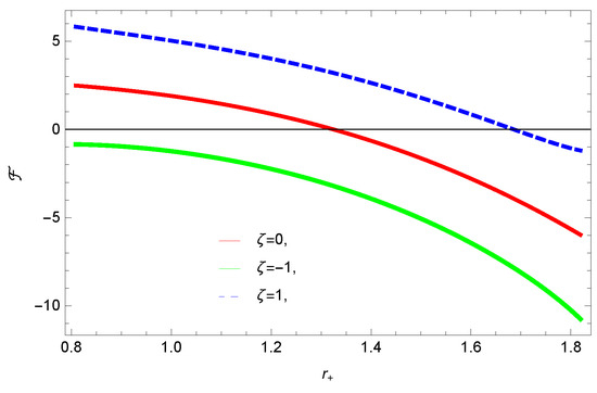
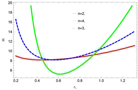
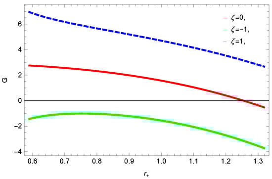
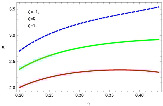
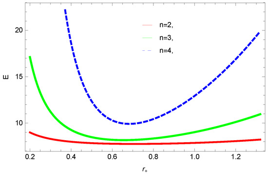
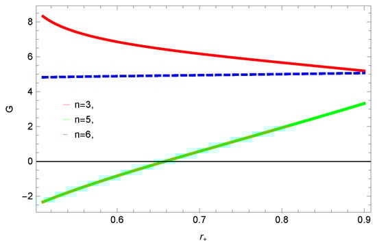
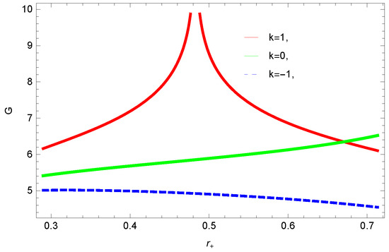
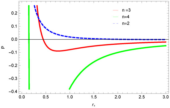
3. Holographic Duality and Thermal Stability
4. Concluding Remarks
Author Contributions
Funding
Data Availability Statement
Acknowledgments
Conflicts of Interest
Appendix A
Appendix B
Appendix C
Appendix D
References
- Hawking, S.W. Particle creation by black holes. Commun. Math. Phys. 1975, 43, 199. [Google Scholar] [CrossRef]
- Bardeen, J.M. The four laws of black hole mechanics. Commun. Math. Phys. 1973, 31, 161. [Google Scholar] [CrossRef]
- Hawking, S.W.; Page, D.N. Thermodynamics of black holes in anti-de Sitter space. Commun. Math. Phys. 1983, 87, 577. [Google Scholar] [CrossRef]
- Bekenstein, J.D. Black Holes and Entropy. Phys. Rev. D 1973, 7, 2333. [Google Scholar] [CrossRef]
- Mann, R.B.; Solodukhin, S.N. Universality of quantum entropy for extreme black holes. Nucl. Phys. B 1998, 523, 293. [Google Scholar] [CrossRef] [Green Version]
- Medved, A.J.M.; Kunstatter, G. Quantum corrections to the thermodynamics of charged 2D black holes. Phys. Rev. D 1999, 60, 104029. [Google Scholar] [CrossRef] [Green Version]
- Pourhassan, B.; Faizal, M. Thermal fluctuations in a charged AdS black hole. Europhys. Lett. 2015, 111, 40006. [Google Scholar] [CrossRef]
- Faizal, M.; Khalil, M.M. GUP-corrected thermodynamics for all black objects and the existence of remnants. Int. J. Mod. Phys. A 2015, 30, 1550144. [Google Scholar] [CrossRef] [Green Version]
- Kaul, R.K.; Majumdar, P. Logarithmic correction to the Bekenstein-Hawking entropy. Phys. Rev. Lett. 2000, 84, 5255. [Google Scholar] [CrossRef] [Green Version]
- Carlip, S. Logarithmic corrections to black hole entropy, from the Cardy formula. Class. Quant. Gravity 2000, 17, 4175. [Google Scholar] [CrossRef]
- Nozari, K.; Mehdipour, S.H. Black holes remnants in extra dimensions and dark matter. Int. J. Mod. Phys. A 2006, 26, 4979. [Google Scholar] [CrossRef] [Green Version]
- Upadhyay, S. Quantum corrections to thermodynamics of quasitopological black holes. Phys. Lett. B 2017, 775, 130. [Google Scholar] [CrossRef]
- Pourhassan, B.; Upadhyay, S.; Farahani, H. Thermodynamics of higher-order entropy corrected Schwarzschild–Beltrami–de Sitter black hole. Int. J. Mod. Phys. A 2019, 28, 1950158. [Google Scholar] [CrossRef]
- Upadhyay, S.; Pourhassan, B.; Farahani, H. P-V criticality of first-order entropy corrected AdS black holes in massive gravity. Phys. Rev. D 2017, 95, 106014. [Google Scholar] [CrossRef] [Green Version]
- Frolov, V.P.; Israel, W.; Solodukhin, S.N. One-loop quantum corrections to the thermodynamics of charged black hole. Phys. Rev. D 1996, 54, 2732. [Google Scholar] [CrossRef] [Green Version]
- Pourhassan, B.; Faizal, M.; Upadhyay, S.; Asfar, L.A. Thermal fluctuations in a hyperscaling-violation background. Eur. Phys. J. C 2017, 77, 555. [Google Scholar] [CrossRef] [Green Version]
- Vegh, D. Holography without translational symmetry. arXiv 2013, arXiv:1301.0537. [Google Scholar]
- Capela, F.; Tinyakov, P.G. Black hole thermodynamics and massive gravity. J. High Energy Phys. 2011, 1104, 42. [Google Scholar] [CrossRef] [Green Version]
- Fierz, M.; Paul, W. On relativistic wave equations for particles of arbitrary spin in an electromagnetic field. Proc. R. Soc. A 1939, 173, 211. [Google Scholar]
- Dam, H.V.; Veltman, M.J.G. Massive and mass-less Yang-Mills and gravitational fields. Nucl. Phys. B 1970, 22, 397. [Google Scholar]
- Rham, C.D.; Gabadadze, G.; Tolley, A.J. Resummation of massive gravity. Phys. Rev. Lett. 2011, 106, 231101. [Google Scholar] [CrossRef] [PubMed] [Green Version]
- Salam, A.; Strathdee, J.A. Class of solutions for the strong-gravity equations. Phys. Rev. D 1977, 16, 2668. [Google Scholar] [CrossRef]
- Berezhiani, Z.; Comelli, D.; Nesti, F.; Pilo, L. Exact spherically symmetric solutions in massive gravity. J. High Energy Phys. 2008, 7, 130. [Google Scholar] [CrossRef]
- Nieuwenhuizen, T.M. Exact Schwarzschild-de Sitter black holes in a family of massive gravity models. Phys. Rev. D 2011, 84, 024038. [Google Scholar] [CrossRef] [Green Version]
- Dvali, G.; Gabadadze, G.; Shifman, M. Diluting the cosmological constant in infinite volume extra dimensions. Phys. Rev. D 2003, 64, 044020. [Google Scholar] [CrossRef] [Green Version]
- Dvali, G.; Hofmann, S.; Khoury, J. Degravitation of the cosmological constant and graviton width. J. Phys. Rev. D 2007, 76, 084006. [Google Scholar] [CrossRef] [Green Version]
- Eslam, B.; Hendi, S.H. Black-hole solutions correspondence between conformal and massive theories of gravity. EPL (Europhys. Lett.) 2019, 125, 60006. [Google Scholar]
- Rham, C.D. Relativistic stars in de Rham-Gabadadze-Tolley massive gravity. Living Rev. Relativ. 2014, 17, 7. [Google Scholar]
- Bamba, K.; Nojiri, S.; Odintsov, S.D. Trace-anomaly driven inflation in f(T) gravity and in minimal massive bigravity. Phys. Lett. B 2014, 731, 257. [Google Scholar] [CrossRef] [Green Version]
- Bamba, K.; Hossain, M.W.; Myrzakulov, R.; Nojiri, S.; Sami, M. Cosmological investigations of (extended) nonlinear MG schemes with nonminimal coupling. Phys. Rev. D 2014, 89, 083518. [Google Scholar] [CrossRef] [Green Version]
- Padmanabhan, T. Dark energy and gravity. Gen. Relativ. Gravit. 2008, 40, 529–564. [Google Scholar] [CrossRef] [Green Version]
- Copeland, E.J.; Sami, M.; Tsujikawa, S. Dynamics of dark energy. Int. J. Mod. Phys. D 2006, 15, 1753–1936. [Google Scholar] [CrossRef] [Green Version]
- Durrer, R.; Maartens, R. Dark energy and dark gravity: Theory overview. Gen. Relativ. Gravit. 2008, 40, 301–328. [Google Scholar] [CrossRef] [Green Version]
- Clifton, T.; Ferreira, P.G.; Padilla, A.; Skordis, C. Modified gravity and cosmology. Phys. Rep. 2012, 513, 1–189. [Google Scholar] [CrossRef] [Green Version]
- Bamba, K.; Capozziello, S.; Nojiri, S.; Odintsov, S.D. Dark energy cosmology: The equivalent description via different theoretical models and cosmography tests. Astrophys. Space Sci. 2012, 342, 155–228. [Google Scholar] [CrossRef] [Green Version]
- Capozziello, S.; Laurentis, M.D. Extended theories of gravity. Phys. Rep. 2011, 509, 167–321. [Google Scholar] [CrossRef] [Green Version]
- Nojiri, S.; Odintsov, S.D. Unified cosmic history in modified gravity: From F(R) theory to Lorentz non-invariant models. Phys. Rep. 2011, 505, 59–144. [Google Scholar] [CrossRef] [Green Version]
- Nojiri, S.; Odintsov, S.D.; Oikonomou, V.K. Modified gravity theories on a nutshell: Inflation, bounce and late-time evolution. Phys. Rep. 2017, 692, 1–104. [Google Scholar] [CrossRef] [Green Version]
- Sotiriou, T.P.; Faraoni, V. f(R) Theories of gravity. Rev. Mod. Phys. 2010, 82, 451–497. [Google Scholar] [CrossRef] [Green Version]
- Felice, A.D.; Tsujikawa, S. f(R) theories. Living Rev. Relativ. 2010, 13, 3. [Google Scholar] [CrossRef] [PubMed] [Green Version]
- Joyce, A.; Jain, B.; Khoury, J.; Trodden, M. Beyond the C cosmological standard model. Phys. Rep. 2015, 568, 1–98. [Google Scholar] [CrossRef] [Green Version]
- Bamba, K.; Odintsov, S.D. Inflationary cosmology in modified gravity theories. Symmetry 2015, 7, 220. [Google Scholar] [CrossRef] [Green Version]
- Cai, Y.F.; Capozziello, S.; Laurentis, M.D.; Saridakis, E.N. f(T) teleparallel gravity and cosmology. Rep. Prog. Phys. 2016, 79, 106901. [Google Scholar] [CrossRef] [Green Version]
- Born, M.; Infeld, L. Foundations of the new field theory. Proc. R. Soc. Lond. 1934, 144, 425. [Google Scholar] [CrossRef]
- Soleng, H. Charged black points in general relativity coupled to the logarithmic U (1) gauge theory. Phys. Rev. D 1995, 52, 6178. [Google Scholar] [CrossRef] [Green Version]
- Hendi, S.H. Asymptotic charged BTZ Black hole solutions. J. High Energy Phys. 2012, 3, 65. [Google Scholar] [CrossRef] [Green Version]
- Sheykhi, A.; Naeimipour, F.; Zebarjad, S.M. Charged rotating dilaton black strings with logarithmic nonlinear source. Gen. Relativ. Gravit. 2016, 48, 33. [Google Scholar] [CrossRef]
- Sheykhi, A.; Naeimipour, F.; Zebarjad, S.M. Phase transition and thermodynamic geometry of topological dilaton black holes in gravitating logarithmic nonlinear electrodynamics. Phys. Rev. D 2015, 91, 124057. [Google Scholar] [CrossRef]
- Hajkhalili, S.; Sheykhi, A. Asymptotically (A) dS dilaton black holes with nonlinear electrodynamics. Int. J. Mod. Phys. D 2018, 27, 1850075. [Google Scholar] [CrossRef] [Green Version]
- Chaloshtary, S.R.; Zangeneh, M.K.; Hajkhalili, S.; Sheykhi, A.; Zebarjad, S.M. Thermodynamics and reentrant phase transition for logarithmic nonlinear charged black holes in massive gravity. Int. J. Mod. Phys. 2020, 29, 2050081. [Google Scholar] [CrossRef]
- Das, S.; Majumdar, P.; Bhaduri, R.K. General logarithmic corrections to black hole entropy. Class. Quant. Gravity 2002, 19, 2355. [Google Scholar] [CrossRef]
- Sadeghi, J.; Pourhassan, B.; Rahimi, F. Logarithmic corrections of charged hairy black holes in (2 + 1) dimensions. Can. J. Phys. 2014, 92, 1638. [Google Scholar] [CrossRef] [Green Version]
- Pourdarvish, A.; Sadeghi, J.; Farahani, H.; Pourhassan, B. Thermodynamics and statistics of Gödel black hole with logarithmic correction. Int. J. Theor. Phys. 2013, 52, 3560. [Google Scholar] [CrossRef]
- Hendi, S.H.; Panahiyan, S.; Panah, B.E.; Jamil, M. Alternative approach to thermodynamic phase transitions. Chin. Phys. C 2019, 43, 113106. [Google Scholar] [CrossRef] [Green Version]































Publisher’s Note: MDPI stays neutral with regard to jurisdictional claims in published maps and institutional affiliations. |
© 2021 by the authors. Licensee MDPI, Basel, Switzerland. This article is an open access article distributed under the terms and conditions of the Creative Commons Attribution (CC BY) license (https://creativecommons.org/licenses/by/4.0/).
Share and Cite
Jawad, A.; Chaudhary, S.; Bamba, K. Impact of Thermal Fluctuations on Logarithmic Corrected Massive Gravity Charged Black Hole. Entropy 2021, 23, 1269. https://doi.org/10.3390/e23101269
Jawad A, Chaudhary S, Bamba K. Impact of Thermal Fluctuations on Logarithmic Corrected Massive Gravity Charged Black Hole. Entropy. 2021; 23(10):1269. https://doi.org/10.3390/e23101269
Chicago/Turabian StyleJawad, Abdul, Shahid Chaudhary, and Kazuharu Bamba. 2021. "Impact of Thermal Fluctuations on Logarithmic Corrected Massive Gravity Charged Black Hole" Entropy 23, no. 10: 1269. https://doi.org/10.3390/e23101269
APA StyleJawad, A., Chaudhary, S., & Bamba, K. (2021). Impact of Thermal Fluctuations on Logarithmic Corrected Massive Gravity Charged Black Hole. Entropy, 23(10), 1269. https://doi.org/10.3390/e23101269

