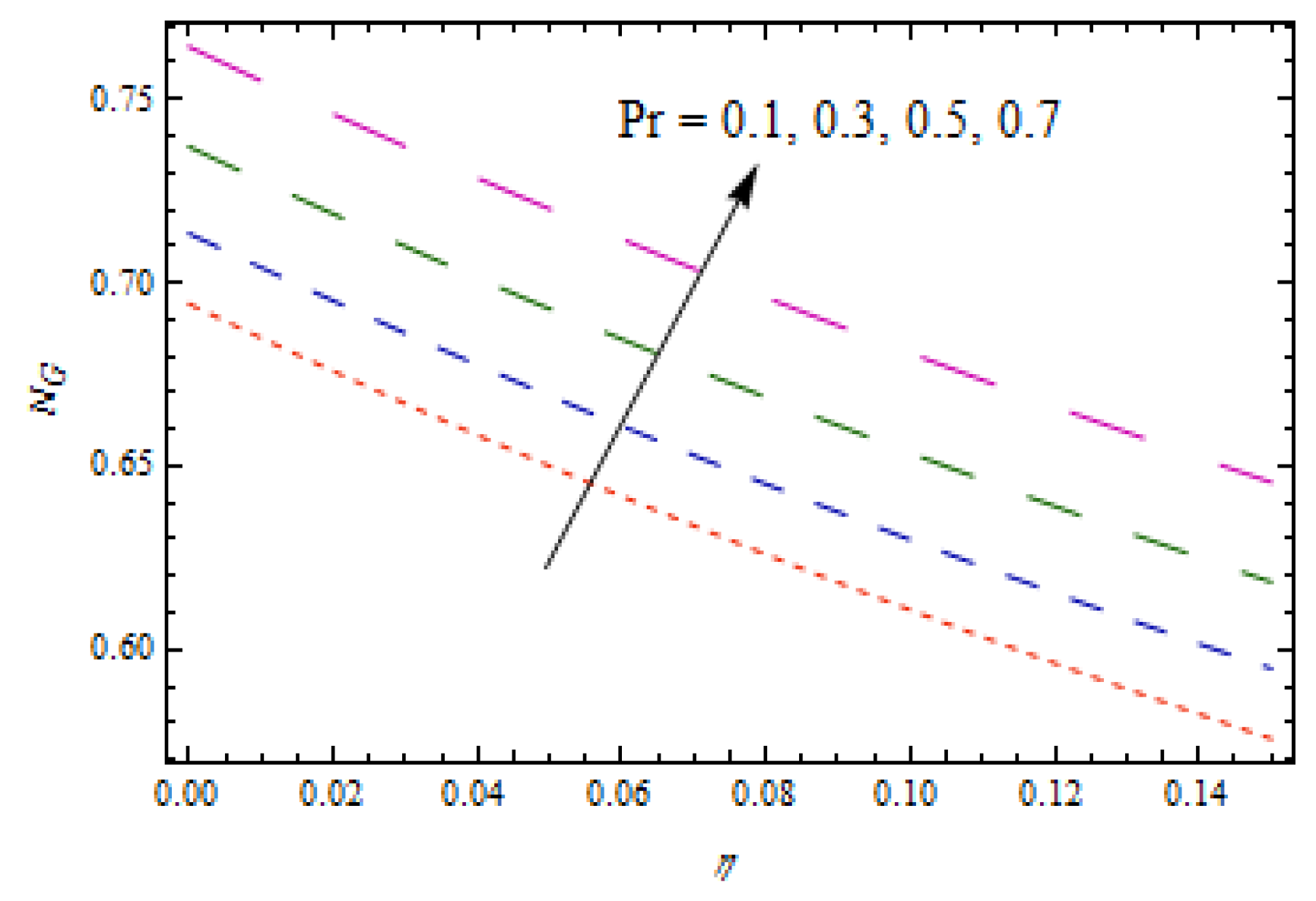
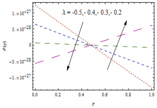
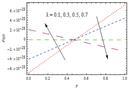
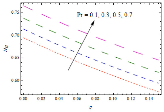
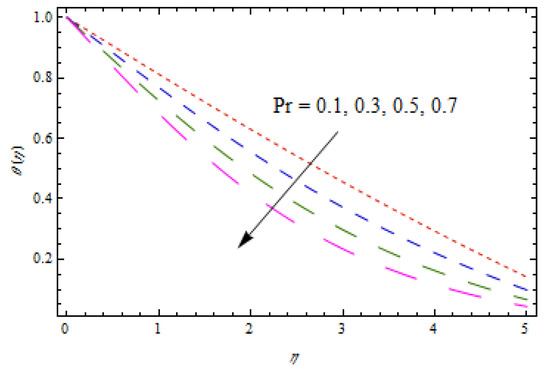
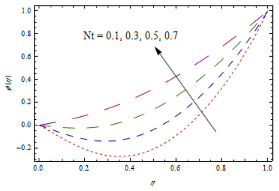
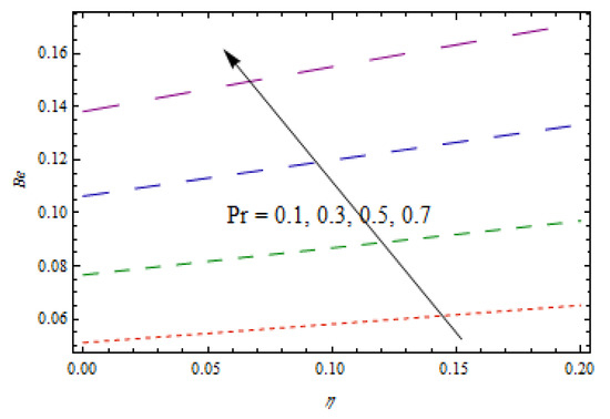
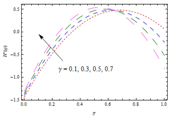
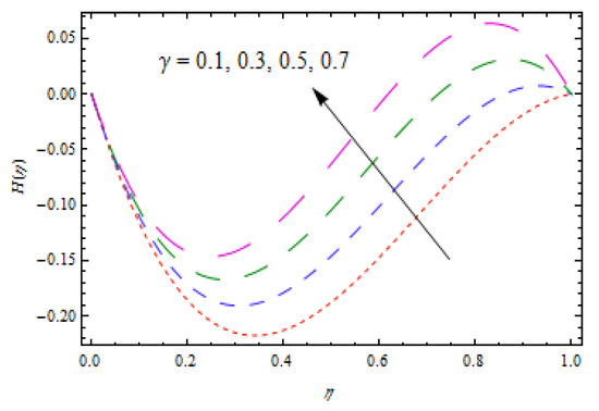
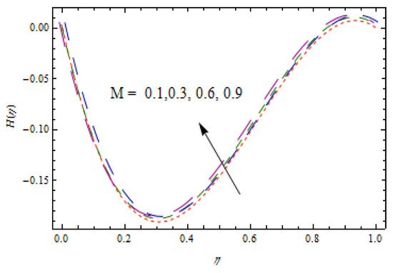
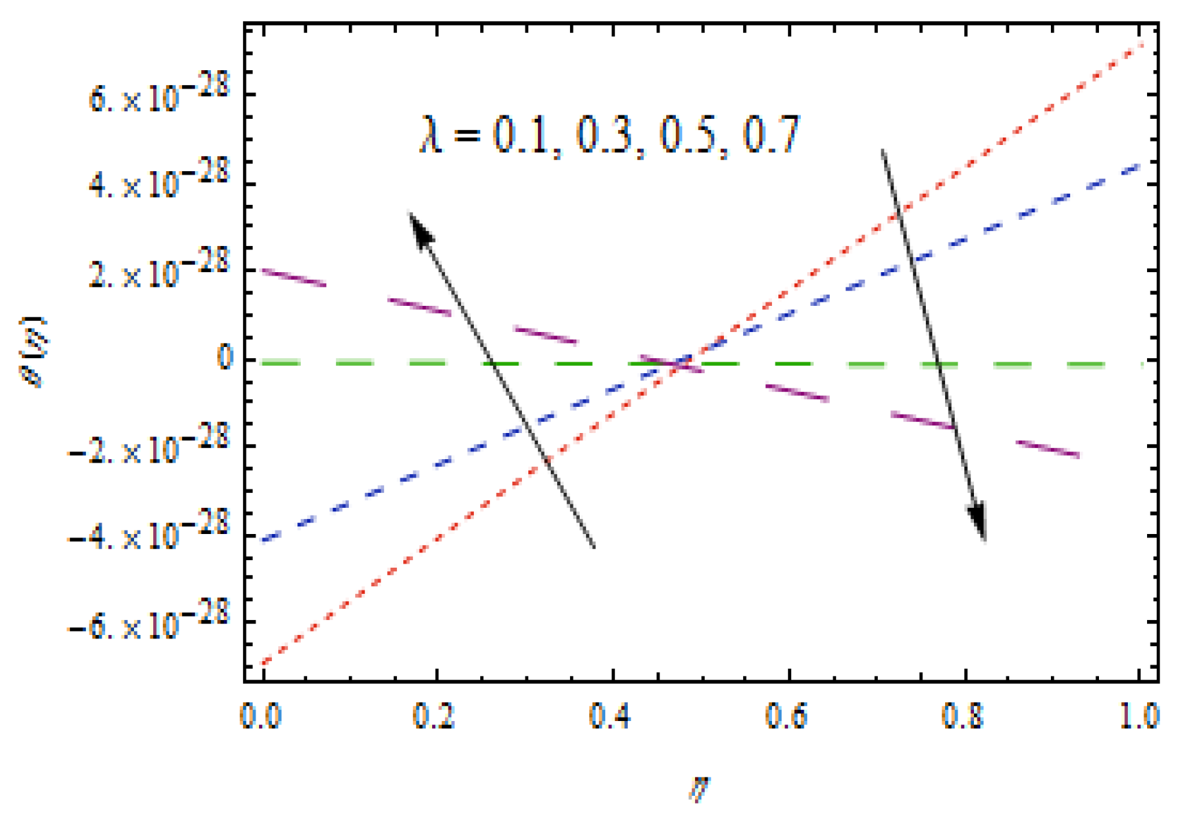
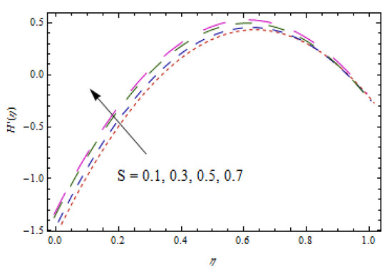
Aspects of Chemical Entropy Generation in Flow of Casson Nanofluid between Radiative Stretching Disks
Khan, N.; Riaz, I.; Hashmi, M.S.; Musmar, S.A.; Khan, S.U.; Abdelmalek, Z.; Tlili, I. Aspects of Chemical Entropy Generation in Flow of Casson Nanofluid between Radiative Stretching Disks. Entropy 2020, 22, 495. https://doi.org/10.3390/e22050495
Khan N, Riaz I, Hashmi MS, Musmar SA, Khan SU, Abdelmalek Z, Tlili I. Aspects of Chemical Entropy Generation in Flow of Casson Nanofluid between Radiative Stretching Disks. Entropy. 2020; 22(5):495. https://doi.org/10.3390/e22050495
Chicago/Turabian StyleKhan, Nargis, Iram Riaz, Muhammad S. Hashmi, Saed A. Musmar, Sami U. Khan, Zahra Abdelmalek, and Iskander Tlili. 2020. "Aspects of Chemical Entropy Generation in Flow of Casson Nanofluid between Radiative Stretching Disks" Entropy 22, no. 5: 495. https://doi.org/10.3390/e22050495


