Chaotic Dynamics in a Quantum Fermi–Pasta–Ulam Problem
Abstract
1. Introduction
2. Model
3. Localization-Delocalization Transition: Qualitative Analytical Consideration
3.1. Localization—Chaos Transition in the Small System
3.2. FPU Problem
3.2.1. Classical Regime
3.2.2. Quantum Mechanical Regime
3.3. FPU Problem
4. Numerical Analysis of the Transition Localization—Chaos
4.1. Level Statistics
4.2. Basic Approximation
4.3. Dependence of Localization Transition on the Boundary Conditions and the Numbers of Phonons and Atoms
4.3.1. Effect of Boundary Conditions
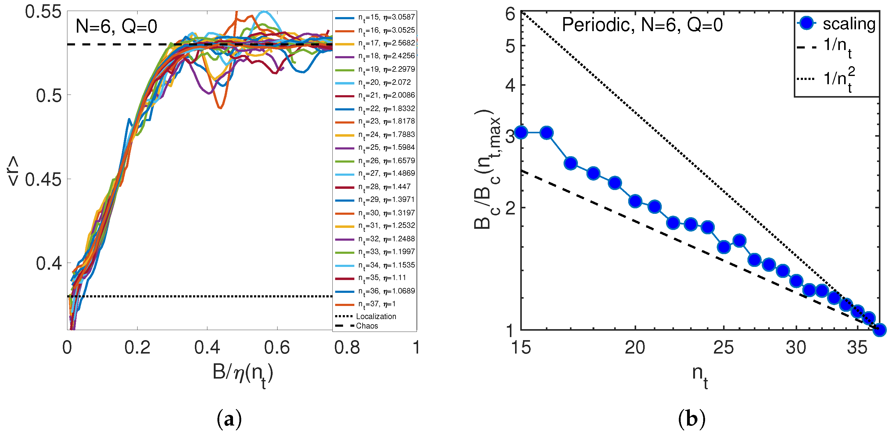
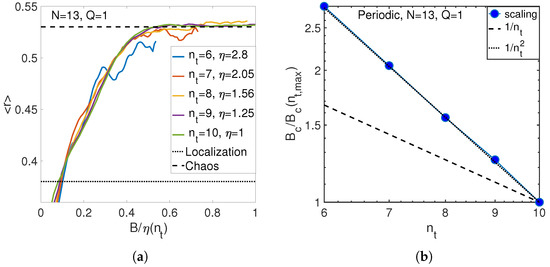
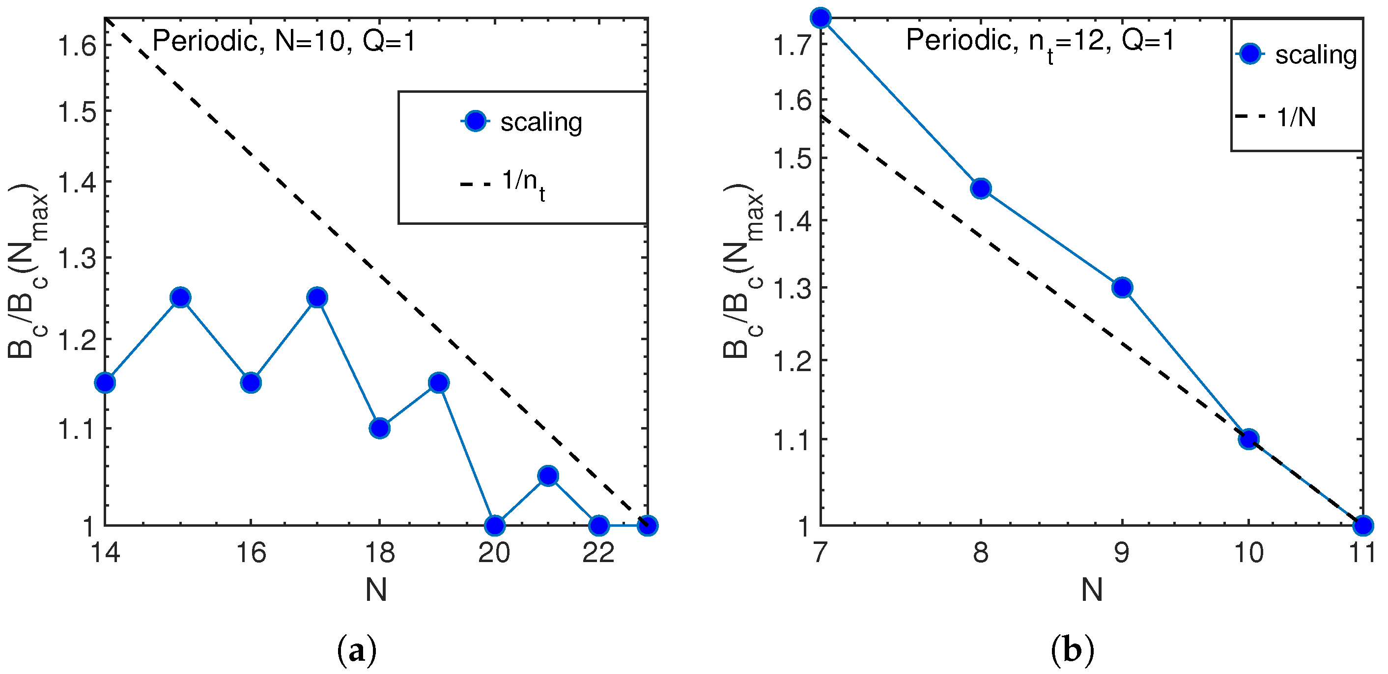
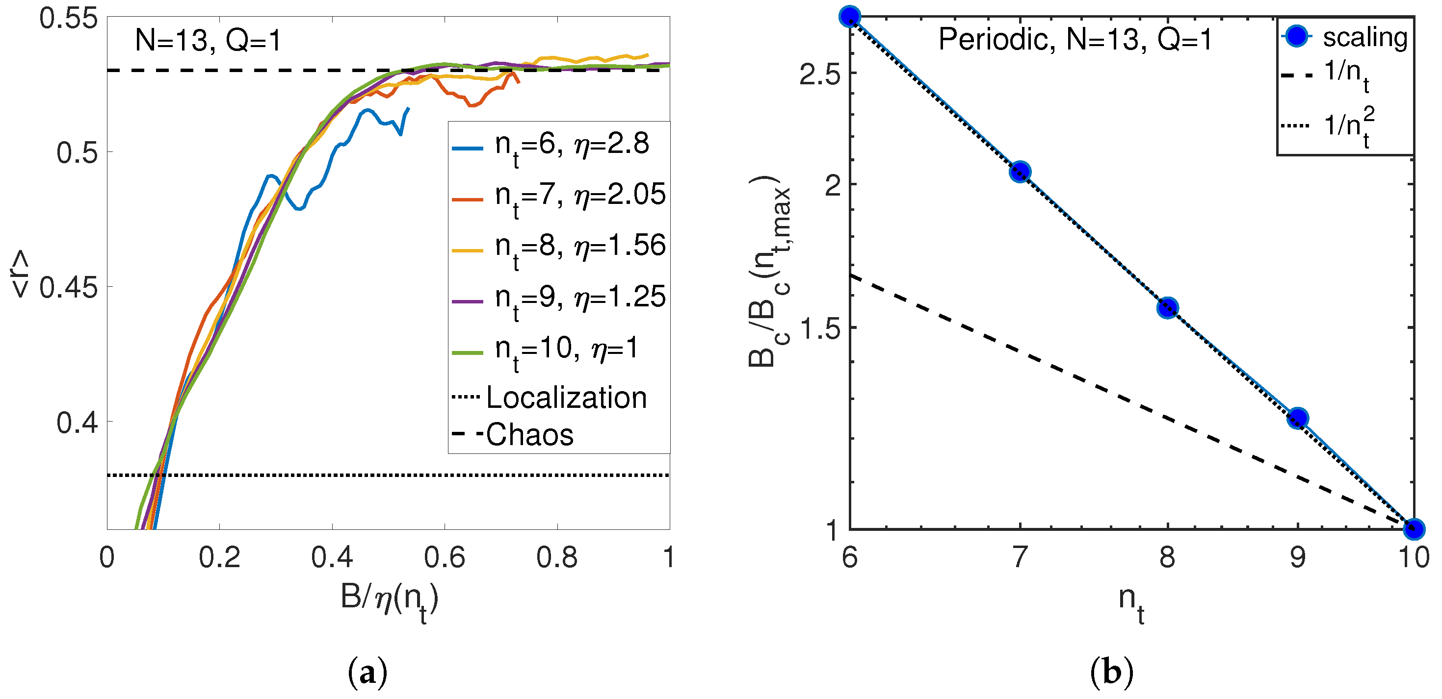
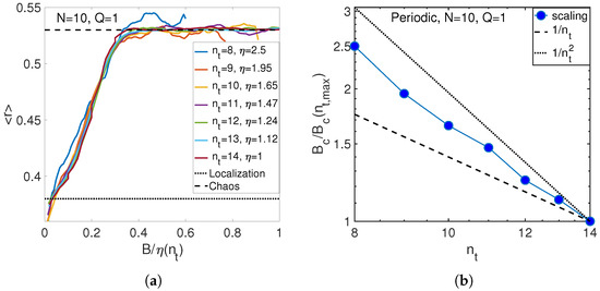
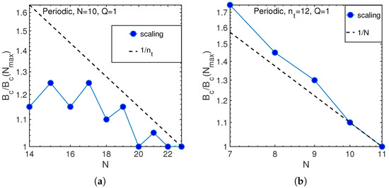
4.3.2. Dependence of Localization Threshold on Numbers of Atoms and Phonons
5. Discussion
6. Materials and Methods
7. Conclusions
Author Contributions
Funding
Acknowledgments
Conflicts of Interest
Abbreviations
| FPU | Fermi–Pasta–Ulam |
References
- Nitzan, A. Molecules Take the Heat. Science 2007, 317, 759–760. [Google Scholar] [CrossRef] [PubMed]
- Nitzan, A.; Ratner, M.A. Electron Transport in Molecular Wire Junctions. Science 2003, 300, 1384–1389. [Google Scholar] [CrossRef] [PubMed]
- Segal, D.; Nitzan, A.; Hänggi, P. Thermal conductance through molecular wires. J. Chem. Phys. 2003, 119, 6840–6855. [Google Scholar] [CrossRef]
- Leitner, D.M. Heat transport in molecules and reaction kinetics: The role of quantum energy flow and localization. In Geometric Structures of Phase Space in Multidimensional Chaos: Application to Chemical Reaction Dynamics in Complex Sstems, PT B; Toda, M., Komatsuzaki, T., Konishi, T., Rice, S.A., Eds.; John Wiley & Sons, Inc.: HoboKen, NJ, USA, 2005; Volume 130, pp. 205–256. [Google Scholar]
- Leitner, D.M. Quantum ergodicity and energy flow in molecules. Adv. Phys. 2015, 64, 445–517. [Google Scholar] [CrossRef]
- Leitner, D.M.; Yamato, T. Mapping energy transport networks in proteins. arXiv, 2018; arXiv:1805.03715. [Google Scholar]
- Li, N.; Ren, J.; Wang, L.; Zhang, G.; Hänggi, P.; Li, B. Colloquium: Phononics: Manipulating heat flow with electronic analogs and beyond. Rev. Mod. Phys. 2012, 84, 1045–1066. [Google Scholar] [CrossRef]
- Weidinger, D.; Gruebele, M. Quantum computation with vibrationally excited polyatomic molecules: Effects of rotation, level structure, and field gradients. Mol. Phys. 2007, 105, 1999–2008. [Google Scholar] [CrossRef]
- Shyshlov, D.; Berrios, E.; Gruebele, M.; Babikov, D. On readout of vibrational qubits using quantum beats. J. Chem. Phys. 2014, 141, 224306. [Google Scholar] [CrossRef]
- Leitner, D.M. Molecules and the Eigenstate Thermalization Hypothesis. Entropy 2018, 20, 673. [Google Scholar] [CrossRef]
- Stewart, G.M.; McDonald, J.D. Intramolecular vibrational relaxation from C–H stretch fundamentals. J. Chem. Phys. 1983, 78, 3907–3915. [Google Scholar] [CrossRef]
- Logan, D.E.; Wolynes, P.G. Quantum localization and energy flow in many-dimensional Fermi resonant systems. J. Chem. Phys. 1990, 93, 4994–5012. [Google Scholar] [CrossRef]
- Kagan, Y.; Maksirnov, L.A. Effect of interparticle interaction on localization in a nonideal crystal with a narrow band. Zh. Eksp. Teor. Fiz. 1985, 88, 174202. [Google Scholar]
- Burin, A.L.; Maksimov, A.L.; Polishchuk, I.Y. Low-temperature conductivity of highly disordered Coulomb systems. JETP Lett. 1989, 49, 784–786. [Google Scholar]
- Burin, A.L.; Kontor, K.N.; Maksimov, L.A. Localization and delocalization in the paramagnetic phase of the transverse Ising model. Theor. Math. Phys. 1990, 85, 1223–1230. [Google Scholar] [CrossRef]
- Jacquod, P.; Shepelyansky, D.L. Emergence of Quantum Chaos in Finite Interacting Fermi Systems. Phys. Rev. Lett. 1997, 79, 1837–1840. [Google Scholar] [CrossRef]
- Basko, D.; Aleiner, I.; Altshuler, B. Metal-insulator transition in a weakly interacting many-electron system with localized single-particle states. Ann. Phys. 2006, 321, 1126–1205. [Google Scholar] [CrossRef]
- Gornyi, I.V.; Mirlin, A.D.; Polyakov, D.G. Interacting Electrons in Disordered Wires: Anderson Localization and Low-T Transport. Phys. Rev. Lett. 2005, 95, 206603. [Google Scholar] [CrossRef] [PubMed]
- Leitner, D.M.; Wolynes, P.G. Vibrational relaxation and energy localization in polyatomics: Effects of high-order resonances on flow rates and the quantum ergodicity transition. J. Chem. Phys. 1996, 105, 11226–11236. [Google Scholar] [CrossRef]
- Leitner, D.M.; Wolynes, P.G. Predictions of local random matrix theory for vibrational mixing and energy flow in polyatomics. ACH-Models Chem. 1997, 134, 663–673. [Google Scholar] [CrossRef]
- Leitner, D.M.; Wolynes, P.G. Vibrational mixing and energy flow in polyatomics: Quantitative prediction using local random matrix theory. J. Phys. Chem. A 1997, 101, 541–548. [Google Scholar] [CrossRef]
- Bigwood, R.; Gruebele, M. Molecular vibrational energy flow: Beyond the Golden Rule. Int. Rev. Phys. Chem. 1998, 17, 91–145. [Google Scholar]
- Bigwood, R.; Gruebele, M. Models of intramolecular energy redistribution spanning deterministic and statistical approaches: Comparison with experiment. ACH-Models Chem. 1997, 134, 637–654. [Google Scholar]
- Bigwood, R.; Gruebele, M. A simple matrix model of intramolecular vibrational redistribution and its implication. Chem. Phys. Lett. 1995, 235, 604–613. [Google Scholar] [CrossRef]
- Fermi, E.; Pasta, J.; Ulam, S.; Tsingou, M. Studies of the Nonlinear Problems; Los Alamos Scientific Laboratory of the University of Califormia: Berkeley, CA, USA, 1955. [Google Scholar]
- Berman, G.P.; Izrailev, F.M. The Fermi-Pasta-Ulam problem: Fifty years of progress. Chaos 2005, 15, 015104. [Google Scholar] [CrossRef]
- Onorato, M.; Vozella, L.; Proment, D.; Lvov, Y.V. Route to thermalization in the β-Fermi–Pasta–Ulam system. Proc. Natl. Acad. Sci. USA 2015, 112, 4208–4213. [Google Scholar] [CrossRef] [PubMed]
- Benettin, G.; Pasquali, S.; Ponno, A. The Fermi-Pasta-Ulam problem and its underlying integrable dynamics: An approach through Lyapunov Exponents. arXiv, 2018; arXiv:1801.05199. [Google Scholar] [CrossRef]
- Danieli, C.; Campbell, D.K.; Flach, S. Intermittent many-body dynamics at equilibrium. Phys. Rev. E 2017, 95, 060202. [Google Scholar] [CrossRef] [PubMed]
- Srednicki, M. Chaos and quantum thermalization. Phys. Rev. E 1994, 50, 888–901. [Google Scholar] [CrossRef]
- Deutsch, J.M. Quantum statistical mechanics in a closed system. Phys. Rev. A 1991, 43, 2046–2049. [Google Scholar] [CrossRef]
- Pandey, H.D.; Leitner, D.M. Thermalization and Thermal Transport in Molecules. J. Phys. Chem. Lett. 2016, 7, 5062–5067. [Google Scholar] [CrossRef]
- Burin, A.L.; Tesar, S.L.; Kasyanenko, V.M.; Rubtsov, I.V.; Rubtsov, G.I. Semiclassical Model for Vibrational Dynamics in Polyatomic Molecules: Investigation of Internal Vibrational Relaxation. J. Phys. Chem. C 2010, 114, 20510–20517. [Google Scholar] [CrossRef]
- Tikhonenkov, I.; Vardi, A.; Anglin, J.R.; Cohen, D. Minimal Fokker-Planck Theory for the Thermalization of Mesoscopic Subsystems. Phys. Rev. Lett. 2013, 110, 050401. [Google Scholar] [CrossRef] [PubMed]
- Segal, D.; Agarwalla, B.K. Vibrational Heat Transport in Molecular Junctions. Annu. Rev. Phys. Chem. 2016, 67, 185–209. [Google Scholar] [CrossRef] [PubMed]
- Pandey, H.D.; Leitner, D.M. Influence of thermalization on thermal conduction through molecular junctions: Computational study of PEG oligomers. J. Chem. Phys. 2017, 147, 084701. [Google Scholar] [CrossRef] [PubMed]
- Chirikov, B.V. Resonance processes in magnetic traps. J. Nucl. Energy Part C 1960, 1, 253. [Google Scholar] [CrossRef]
- Israilev, F.M.; Chirikov, B.V. Statistical properties of a nonlinear string. Dokl. Akad. Nauk SSSR 1966, 166, 57–59. [Google Scholar]
- Berman, G.P.; Kolovskii, A.R. The limit of stochasticity for a one-dimensional chain of interacting oscillators. JETP 1984, 60, 1116. [Google Scholar]
- Shepelyansky, D.L. Low-energy chaos in the Fermi-Pasta-Ulam problem. Nonlinearity 1997, 10, 1331. [Google Scholar] [CrossRef]
- Linnett, J.W. The force constants of some carbon-carbon bonds. Trans. Faraday Soc. 1941, 37, 469–473. [Google Scholar] [CrossRef]
- Huse, D.A.; Nandkishore, R.; Oganesyan, V. Phenomenology of fully many-body-localized systems. Phys. Rev. B 2014, 90, 174202. [Google Scholar] [CrossRef]
- Schick, M. Flux Quantization in a One-Dimensional Model. Phys. Rev. 1968, 166, 404–414. [Google Scholar] [CrossRef]
- Burin, A.L. Exact solution for low energy quantum anharmonic vibrations in a long polymer chain. arXiv, 2015; arXiv:1508.07069v6. [Google Scholar]
- Burin, A.L. Energy delocalization in strongly disordered systems induced by the long-range many-body interaction. arXiv, 2005; arXiv:cond-mat/0611387. [Google Scholar]
- Burin, A.L. Many-body delocalization in a strongly disordered system with long-range interactions: Finite-size scaling. Phys. Rev. B 2015, 91, 094202. [Google Scholar] [CrossRef]
- Burin, A. Localization and chaos in a quantum spin glass model in random longitudinal fields: Mapping to the localization problem in a Bethe lattice with a correlated disorder. Ann. Phys. 2017, 529, 1600292. [Google Scholar] [CrossRef]
- Gornyi, I.V.; Mirlin, A.D.; Polyakov, D.G.; Burin, A.L. Spectral diffusion and scaling of many-body delocalization transitions. Ann. Phys. 2017, 529, 1600360. [Google Scholar] [CrossRef]
- Burin, A.; Kagan, Y. Low-energy collective excitations in glasses. New relaxation mechanism for ultralow temperatures. JETP 1995, 80, 761–768. [Google Scholar]
- Levitov, L.S. Delocalization of vibrational modes caused by electric dipole interaction. Phys. Rev. Lett. 1990, 64, 547–550. [Google Scholar] [CrossRef] [PubMed]
- Kittel, C. Introduction to Solid State Physics; Wiley: Hoboken, NJ, USA, 2004; pp. 361–373. [Google Scholar]
- Dauxois, T.; Ruffo, S.; Torcini, A. Modulational estimate for the maximal Lyapunov exponent in Fermi-Pasta-Ulam chains. Phys. Rev. E 1997, 56, R6229–R6232. [Google Scholar] [CrossRef]
- Budinsky, N.; Bountis, T. Stability of nonlinear modes and chaotic properties of 1D Fermi-Pasta-Ulam lattices. Phys. D Nonlinear Phenom. 1983, 8, 445–452. [Google Scholar] [CrossRef]
- Roeck, W.D.; Huveneers, F. Stability and instability towards delocalization in MBL systems. arXiv, 2016; arXiv:1608.01815. [Google Scholar]
- Georgeot, B.; Shepelyansky, D.L. Integrability and Quantum Chaos in Spin Glass Shards. Phys. Rev. Lett. 1998, 81, 5129–5132. [Google Scholar] [CrossRef]
- Pettini, M.; Landolfi, M. Relaxation properties and ergodicity breaking in nonlinear Hamiltonian dynamics. Phys. Rev. A 1990, 41, 768–783. [Google Scholar] [CrossRef] [PubMed]
- Burin, A.L. Localization in a random XY model with long-range interactions: Intermediate case between single-particle and many-body problems. Phys. Rev. B 2015, 92, 104428. [Google Scholar] [CrossRef]
- Schrieffer, J.R.; Wolff, P.A. Relation between the Anderson and Kondo Hamiltonians. Phys. Rev. 1966, 149, 491–492. [Google Scholar] [CrossRef]
- Toda, M. Vibration of a Chain with Nonlinear Interaction. J. Phys. Soc. Jpn. 1967, 22, 431–436. [Google Scholar] [CrossRef]
- Shklovskii, B.I.; Shapiro, B.; Sears, B.R.; Lambrianides, P.; Shore, H.B. Statistics of spectra of disordered systems near the metal-insulator transition. Phys. Rev. B 1993, 47, 11487–11490. [Google Scholar] [CrossRef]
- Oganesyan, V.; Huse, D.A. Localization of interacting fermions at high temperature. Phys. Rev. B 2007, 75, 155111. [Google Scholar] [CrossRef]
- Yao, N.Y.; Laumann, C.R.; Gopalakrishnan, S.; Knap, M.; Müller, M.; Demler, E.A.; Lukin, M.D. Many-Body Localization in Dipolar Systems. Phys. Rev. Lett. 2014, 113, 243002. [Google Scholar] [CrossRef]
- Bardarson, J.H.; Pollmann, F.; Moore, J.E. Unbounded Growth of Entanglement in Models of Many-Body Localization. Phys. Rev. Lett. 2012, 109, 017202. [Google Scholar] [CrossRef]
- Maksymov, A.O.; Rahman, N.; Kapit, E.; Burin, A.L. Comment on “Many-body localization in Ising models with random long-range interactions”. Phys. Rev. A 2017, 96, 057601. [Google Scholar] [CrossRef]
- Bigwood, R.; Gruebele, M.; Leitner, D.; Wolynes, P. The vibrational energy flow transition in organic moleucles: Theory meets experiment. Proc. Natl. Acad. Sci. USA 1998, 95, 5960. [Google Scholar] [CrossRef]
- MATLAB Version 9.3.07.19579 (R2017b); The MathWorks Inc.: Natick, MA, USA, 2017.










| Model and Regime | , Classical | , Quantum |
|---|---|---|
| , periodic | ||
| Parametric domain | ||
| , free or fixed ends | ||
| Parametric domain |
© 2019 by the authors. Licensee MDPI, Basel, Switzerland. This article is an open access article distributed under the terms and conditions of the Creative Commons Attribution (CC BY) license (http://creativecommons.org/licenses/by/4.0/).
Share and Cite
Burin, A.L.; Maksymov, A.O.; Schmidt, M.; Polishchuk, I.Y. Chaotic Dynamics in a Quantum Fermi–Pasta–Ulam Problem. Entropy 2019, 21, 51. https://doi.org/10.3390/e21010051
Burin AL, Maksymov AO, Schmidt M, Polishchuk IY. Chaotic Dynamics in a Quantum Fermi–Pasta–Ulam Problem. Entropy. 2019; 21(1):51. https://doi.org/10.3390/e21010051
Chicago/Turabian StyleBurin, Alexander L., Andrii O. Maksymov, Ma’ayan Schmidt, and Il’ya Ya. Polishchuk. 2019. "Chaotic Dynamics in a Quantum Fermi–Pasta–Ulam Problem" Entropy 21, no. 1: 51. https://doi.org/10.3390/e21010051
APA StyleBurin, A. L., Maksymov, A. O., Schmidt, M., & Polishchuk, I. Y. (2019). Chaotic Dynamics in a Quantum Fermi–Pasta–Ulam Problem. Entropy, 21(1), 51. https://doi.org/10.3390/e21010051

