Varying Constants Entropic-ΛCDM Cosmology
Abstract
:1. Introduction
2. Entropic Force Field Equations and Varying Constants
3. Gravitational Thermodynamics and Varying Constants
4. Gravitational Thermodynamics—Cosmological Solutions
4.1. G Varying Models Only: , .
4.2. c Varying Models Only: ,
5. Entropic Pressure Modified Equations
5.1. G Varying Models Only: and ; .
5.2. c Varying Models Only: and ;
6. Gravitational Thermodynamics—Horizon Heat Flow
7. Observational Parameters
8. Data Analysis
8.1. Type Ia Supernovae
8.2. Baryon Acoustic Oscillations
8.3. Cosmic Microwave Background
8.4. Results
- the entropic scenario plus varying c and/or G is quite indistinguishable from a pure-ΛCDM model, that is why we call it an entropic-ΛCDM model. Present data is still unable to differentiate between the two scenarios;
- the best fit for the value of the Hawking temperature coefficient γ is quite different from the theoretical values used in literature, i.e., or ; it should be pointed out that other considered entropic scenarios have the values of (e.g., [25]);
- the value for γ is compatible with zero since we were able to put only an upper limit to it. This would mean that the Hawking temperature was zero for the models under study;
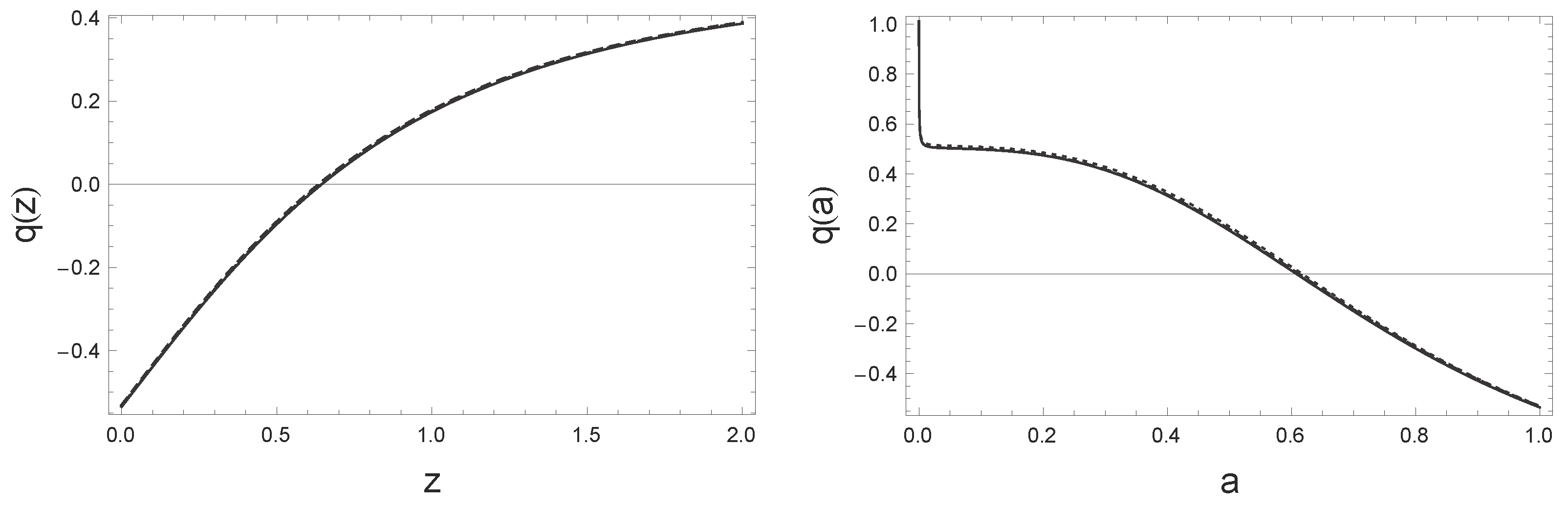
- it is also clear that we still have the deceleration-acceleration transition, as we show in the plot of the relation for and also for in Figure 2, where our models are compared with a standard ΛCDM resulting in being, as said above, barely distinguishable.
9. Conclusions
Acknowledgments
Author Contributions
Conflicts of Interest
References
- Ellis, G.F.R.; Maartens, R.; MacCallum, M.A.H. Relativistic Cosmology; Cambridge University Press: Cambridge, UK, 2012. [Google Scholar]
- Perlmutter, S.; Aldering, G.; Goldhaber, G.; Knop, R.A.; Nugent, P.; Castro, P.G.; Deustua, S.; Fabbro, S.; Goobar, A.; Groom, D.E.; et al. Measurements of Omega and Lambda from 42 high redshift supernovae. Astrophys. J. 1999, 517, 565–586. [Google Scholar] [CrossRef]
- Riess, A.G.; Filippenko, A.V.; Challis, P.; Clocchiattia, A.; Diercks, A.; Garnavich, P.M.; Gilliland, R.L.; Hogan, C.J.; Jha, S.; Kirshner, R.P.; et al. Observational evidence from supernovae for an accelerating universe and a cosmological constant. Astron. J. 1998, 116, 1009–1038. [Google Scholar] [CrossRef]
- Peebles, P.J.E. Tests of cosmological models constrained by inflation. Astrophys. J. 1984, 284, 439–444. [Google Scholar] [CrossRef]
- Kofman, L.A.; Starobinsky, A.A. Effect of the cosmological constant on large-scale anisotropies in the microwave background. Sov. Astron. Lett. 1985, 11, 271–274. [Google Scholar]
- Da̧browski, M.P.; Stelmach, J. Analytic Solutions of Friedman Equation for Spatially Opened Universes with Cosmological, Constant and Radiation Pressure. J. Ann. Phys. 1986, 166, 422–442. [Google Scholar] [CrossRef]
- Weinberg, S. The cosmological constant problem. Rev. Mod. Phys. 1989, 61. [Google Scholar] [CrossRef]
- Miao, L.; Dong, L.X.; Shuang, W.; Yi, W. Dark Energy. Commun. Theor. Phys. 2011, 56, 525–604. [Google Scholar]
- Bamba, K.; Capozziello, S.; Nojiri, S.; Odintsov, S.D. Dark energy cosmology: The equivalent description via different theoretical models and cosmography tests. Astrophys. Space Sci. 2012, 342, 155–228. [Google Scholar] [CrossRef]
- Bekenstein, J.D. Black holes and entropy. Phys. Rev. D 1973, 7, 2333–2346. [Google Scholar] [CrossRef]
- Bekenstein, J.D. Generalized second law of thermodynamics in black hole physics. Phys. Rev. D 1974, 9, 3292–3300. [Google Scholar] [CrossRef]
- Bekenstein, J.D. Statistical Black Hole Thermodynamics. Phys. Rev. D 1975, 12, 3077–3085. [Google Scholar] [CrossRef]
- Hawking, S.W. Black hole explosions. Nature 1974, 248, 30–31. [Google Scholar] [CrossRef]
- Jacobson, T. Thermodynamics of space-time: The Einstein equation of state. Phys. Rev. Lett. 1995, 75, 1260–1263. [Google Scholar] [CrossRef] [PubMed]
- Verlinde, E.J. On the Origin of Gravity and the Laws of Newton. J. High Energy Phys. 2011, 2011, 1–27. [Google Scholar] [CrossRef]
- Padmanabhan, T. Gravitational entropy of static space-times and microscopic density of states. Class. Quant. Grav. 2004, 21, 4485–4494. [Google Scholar] [CrossRef]
- Padmanabhan, T. Thermodynamical Aspects of Gravity: New Insights. Rep. Prog. Phys. 2010, 73, 046901. [Google Scholar] [CrossRef]
- Padmanabhan, T. Equipartition of energy in the horizon degrees of freedom and the emergence of gravity. Mod. Phys. Lett. A 2010, 25, 1129–1136. [Google Scholar] [CrossRef]
- Hooft, G.’t. Dimensional reduction in quantum gravity. 1993; arXiv:gr-qc/9310026. [Google Scholar]
- Kobakhidze, A. Gravity is not an entropic force. Phys. Rev. D 2011, 83, 021502. [Google Scholar] [CrossRef]
- Komatsu, N.; Kimura, S. Non-adiabatic-like accelerated expansion of the late universe in entropic cosmology. Phys. Rev. D 2013, 87, 043531. [Google Scholar] [CrossRef]
- Komatsu, N.; Kimura, S. Entropic cosmology for a generalized black-hole entropy. Phys. Rev. D 2014, 88, 083534. [Google Scholar] [CrossRef]
- Komatsu, N.; Kimura, S. Evolution of the universe in entropic cosmologies via different formulations. Phys. Rev. D 2014, 89, 123501. [Google Scholar] [CrossRef]
- Komatsu, N. Entropic cosmology from a thermodynamics viewpoint. In Proceedings of the 12th Asia Pacific Physics Conference (APPC12), Kanazawa, Japan, 14–19 July 2013.
- Cai, Y.F.; Liu, J.; Li, H. Entropic cosmology: A unified model of inflation and late-time acceleration. Phys. Lett. B 2010, 690, 213–219. [Google Scholar] [CrossRef]
- Cai, Y.F.; Saridakis, E.N. Inflation in Entropic Cosmology: Primordial Perturbations and non-Gaussianities. Phys. Lett. B 2011, 697, 280–287. [Google Scholar] [CrossRef]
- Qiu, T.; Saridakis, E.N. Entropic Force Scenarios and Eternal Inflation. Phys. Rev. D 2012, 85, 043504. [Google Scholar] [CrossRef]
- Easson, D.A.; Frampton, P.H.; Smoot, G.F. Entropic Accelerating Universe. Phys. Lett. B 2011, 696, 273–277. [Google Scholar] [CrossRef]
- Easson, D.A.; Frampton, P.H.; Smoot, G.F. Entropic Inflation. Int. J. Mod. Phys. A 2012, 27, 125066. [Google Scholar] [CrossRef]
- Koivisto, T.S.; Mota, D.F.; Zumalacarrequi, M. Constraining entropic cosmology. J. Cosmol. Astrop. Phys. 2011, 2011, 27. [Google Scholar] [CrossRef]
- Basilakos, S.; Polarski, D.; Solá, J. Generalizing the running vacuum energy model and comparing with the entropic-force models. Phys. Rev. D 2012, 86, 043010. [Google Scholar] [CrossRef]
- Basilakos, S.; Solá, J. Entropic-force dark energy reconsidered. Phys. Rev. D 2014, 90, 023008. [Google Scholar] [CrossRef]
- Gómez-Valent, A.; Solá, J. Vacuum models with a linear and a quadratic term in H: Structure formation and number counts analysis. Mon. Not. Roy. Astron. Soc. 2015, 448, 2810–2821. [Google Scholar] [CrossRef]
- Cai, R.G.; Kim, S.P. First law of thermodynamics and Friedmann equations of Friedmann-Robertson-Walker universe. J. High Energy Phys. 2005. [Google Scholar] [CrossRef]
- Cai, R.G.; Cao, L.M. Unified first law and thermodynamics of apparent horizon in FRW universe. Phys. Rev. D 2007, 75, 064008. [Google Scholar] [CrossRef]
- Cai, R.G.; Cao, L.M.; Hu, Y.P. Corrected Entropy-Area Relation and Modified Friedmann Equations. J. High Energy Phys. 2008, 2008. [Google Scholar] [CrossRef]
- Akbar, M.; Cai, R.G. Friedmann equations of FRW universe in scalar-tensor gravity, f(R) gravity and first law of thermodynamics. Phys. Lett. B 2006, 635, 7–10. [Google Scholar] [CrossRef]
- Akbar, M.; Cai, R.G. Thermodynamic Behavior of Friedmann Equations at Apparent Horizon of FRW Universe. Phys. Rev. D 2007, 75, 81003. [Google Scholar] [CrossRef]
- Akbar, M.; Cai, R.G. Thermodynamic Behavior of Field Equations for f(R) Gravity. Phys. Lett. B 2007, 648, 243–248. [Google Scholar] [CrossRef]
- Eling, C.; Guedens, R.; Jacobson, T. Non-equilibrium thermodynamics of spacetime. Phys. Rev. Lett. 2006, 96, 121301. [Google Scholar] [CrossRef]
- Hayward, S.A.; Mukohyama, S.; Ashworth, M.S. Dynamic black hole entropy. Phys. Lett. A 1999, 256, 347–350. [Google Scholar] [CrossRef]
- Bak, D.; Ray, S.-J. Cosmic holography. Class. Quantum Grav. 2000, 17, L83. [Google Scholar] [CrossRef]
- Danielsson, U.H. Transplanckian energy production and slow roll inflation. Phys. Rev. D 2005, 71, 023516. [Google Scholar] [CrossRef]
- Wang, Y. Towards a Holographic Description of Inflation and Generation of Fluctuations from Thermodynamics. 2010; arXiv:1001.4786. [Google Scholar]
- Visser, M. Conservative entropic forces. J. High Energy Phys. 2011, 2011. [Google Scholar] [CrossRef]
- Basilakos, S.; Plionis, M.; Solá, J. Hubble expansion and Structure Formation in Time Varying Vacuum Models. Phys. Rev. D 2009, 80, 083511. [Google Scholar] [CrossRef]
- Grande, J.; Solá, J.; Fabris, J.C.; Shapiro, I.L. Cosmic perturbations with running G and Lambda. Class. Quantum Grav. 2010, 27, 105004. [Google Scholar] [CrossRef]
- Grande, J.; Solá, J.; Basilakos, S.; Plionis, M. Hubble expansion and structure formation in the ”running FLRW model” of the cosmic evolution. J. Cosmol. Astrop. Phys. 2011. [Google Scholar] [CrossRef]
- Gómez-Valent, A.; Solá, J.; Basilakos, S. Dynamical vacuum energy in the expanding Universe confronted with observations: A dedicated study. J. Cosmol. Astrop. Phys. 2015, 2015. [Google Scholar] [CrossRef] [PubMed]
- Solá, J.; Gómez-Valent, A.; de Cruz Pérez, J. Hints of dynamical vacuum energy in the expanding Universe. Astrophys. J. Lett. 2015, 811, L14. [Google Scholar] [CrossRef]
- Barrow, J.D. Cosmologies with varying light speed. Phys. Rev. D 1999, 59, 043515. [Google Scholar] [CrossRef]
- Gopakumar, P.; Vijayagovindan, G.V. Solutions to cosmological problems with energy conservation and varying c, G and Lambda. Mod. Phys. Lett. A 2001, 16, 957–962. [Google Scholar] [CrossRef]
- Leszczyńska, K.; Da̧browski, M.P.; Balcerzak, A. Varying constants quantum cosmology. J. Cosmol. Astropart. Phys. 2015. [Google Scholar] [CrossRef]
- Moffat, J. Superluminary universe: A Possible solution to the initial value problem in cosmology. Int. J. Mod. Phys. D 1993, 2, 351–366. [Google Scholar] [CrossRef]
- Albrecht, A.; Magueijo, J. A Time varying speed of light as a solution to cosmological puzzles. Phys. Rev. D 1999, 59, 043516. [Google Scholar] [CrossRef]
- Barrow, J.D.; Magueijo, J. Solutions to the quasi-flatness and quasilambda problems. Phys. Lett. B 1999, 447, 246. [Google Scholar] [CrossRef]
- Magueijo, J. Stars and black holes in varying speed of light theories. Phys. Rev. D 2001, 63, 043502. [Google Scholar] [CrossRef]
- Ellis, G.F.R.; Uzan, J.-P. c is the speed of light, isn’t it? Am. J. Phys. 2005, 73, 240–247. [Google Scholar] [CrossRef]
- Moffat, J.W. Variable speed of light cosmology, primordial fluctuations and gravitational waves. 2014; arXiv:1404.5567. [Google Scholar]
- Moffat, J.W. Nonlinear perturbations in a variable speed of light cosmology. 2015; arXiv:1501.01872. [Google Scholar]
- Balcerzak, A. Non-minimally coupled varying constants quantum cosmologies. J. Cosmol. Astropart. Phys. 2015. [Google Scholar] [CrossRef] [Green Version]
- Gibbons, G.W.; Hawking, S.W. Cosmological Event Horizons, Thermodynamics, and Particle Creation. Phys. Rev. D 1977, 15. [Google Scholar] [CrossRef]
- Balcerzak, A.; Da̧browski, M.P. Redshift drift in varying speed of light cosmology. Phys. Lett. B 2014, 728, 15–18. [Google Scholar] [CrossRef]
- Amendola, L.; Tsujikawa, S. Dark Energy; Cambridge University Press: Cambridge, UK, 2010. [Google Scholar]
- Okun, L.B. The fundamental constants of physics. Sov. Phys. Usp. 1991, 34. [Google Scholar] [CrossRef]
- Gibbons, G.W. The maximum tension principle in general relativity. Found. Phys. 2002, 32, 1891–1901. [Google Scholar] [CrossRef]
- Schiller, C. General relativity and cosmology derived from principle of maximum power or force. Int. J. Theor. Phys. 2005, 44, 1629–1647. [Google Scholar] [CrossRef]
- Barrow, J.D.; Gibbons, G.W. Maximum tension: With and without a cosmological constant. Mon. Not. Royal Astron. Soc. 2014, 446, 3874–3877. [Google Scholar] [CrossRef]
- Da̧browski, M.P.; Gohar, H. Abolishing the maximum tension principle. Phys. Lett. B 2015, 748, 428–431. [Google Scholar] [CrossRef]
- Youm, D. Variable speed of light cosmology and second law of thermodynamics. Phys. Rev. D 2002, 66, 43506. [Google Scholar] [CrossRef]
- Buchalter, A. On the time variation of c, G, and h and the dynamics of the cosmic expansion. 2004; arXiv:astro-ph/0403202. [Google Scholar]
- Betoule, M.; Kessler, R.; Guy, J.; Mosher, J.; Hardin, D.; Biswas, R.; Astier, P.; El-Hage, P.; Konig, M.; Kuhlmann, S.; et al. Improved cosmological constraints from a joint analysis of the SDSS-II and SNLS supernova samples. Astron. Astrophys. 2014. [Google Scholar] [CrossRef]
- Balcerzak, A.; Da̧browski, M.P. A statefinder luminosity distance formula in varying speed of light cosmology. J. Cosmol. Astrop. Phys. 2014. [Google Scholar] [CrossRef]
- WiggleZ Dark Energy Survey. Available online: http://wigglez.swin.edu.au/site/ (accessed on 29 January 2016).
- Blake, C.; Brough, S.; Colless, M.; Contreras, C.; Couch, W.; Croom, S.; Croton, D.; Davis, T.M.; Drinkwater, M.J.; Forster, K.; et al. The WiggleZ Dark Energy Survey: Joint measurements of the expansion and growth history at z < 1. Mon. Not. Royal Astron. Soc. 2012, 425, 405–414. [Google Scholar]
- Tojeiro, R.; Ross, A.J.; Burden, A.; Samushia, L.; Manera, M.; Percival, W.J.; Beutler, F.; Brinkmann, J.; Brownstein, J.R.; Cuesta, A.J.; et al. The clustering of galaxies in the SDSS-III Baryon Oscillation Spectroscopic Survey: Galaxy clustering measurements in the low-redshift sample of Data Release 11. Mon. Not. Royal Astron. Soc. 2014, 440, 2222–2237. [Google Scholar] [CrossRef]
- Anderson, L.; Aubourg, E.; Bailey, S.; Beutler, F.; Bhardwaj, V.; Blanton, M.; Bolton, A.S.; Brinkmann, J.; Brownstein, J.R.; Burden, A.; et al. The clustering of galaxies in the SDSS-III Baryon Oscillation Spectroscopic Survey: Baryon acoustic oscillations in the Data Releases 10 and 11 Galaxy samples. Mon. Not. Royal Astron. Soc. 2014, 441, 24–62. [Google Scholar] [CrossRef]
- Eisenstein, D.; Hu, W. Baryonic Features in the Matter Transfer Function. Astrophys. J. 1998, 496. [Google Scholar] [CrossRef]
- Font-Ribera, A.; Kirkby, D.; Busca, N.; Miralda-Escudé, J.; Ross, N.P.; Slosar, A.; Rich, J.; Aubourg, E.; Bailey, S.; Bhardwaj, V.; et al. Quasar-Lyman α forest cross-correlation from BOSS DR11: Baryon Acoustic Oscillations. J. Cosmol. Astropart. Phys. 2014, 2014. [Google Scholar] [CrossRef]
- Wang, Y.; Wang, S. Distance priors from Planck and dark energy constraints from current data. Phys. Rev. D 2013, 88, 043522. [Google Scholar] [CrossRef]
- Wang, Y.; Mukherjee, P. Observational constraints on dark energy and cosmic curvature. Phys. Rev. D 2007, 76. [Google Scholar] [CrossRef]
- Hu, W.; Sugiyama, N. Small-Scale Cosmological Perturbations: An Analytic Approach. Astrophys. J. 1996, 471. [Google Scholar] [CrossRef]
- Bennett, C.L.; Larson, D.; Weiland, J.L.; Hinshaw, G. The 1% Concordance Hubble Constant. Astrophys. J. 2014, 794. [Google Scholar] [CrossRef]
- Komatsu, E.; Dunkley, J.; Nolta, M.R.; Bennett, C.L.; Gold, B.; Hinshaw, G.; Jarosik, N.; Larson, D.; Limon, M.; Page, L.; et al. Five-Year Wilkinson Microwave Anisotropy Probe Observations: Cosmological Interpretation. Astrophys. J. Suppl. Ser. 2009, 180, 330–376. [Google Scholar] [CrossRef]
- Da̧browski, M.P.; Denkiewicz, T.; Martins, C.J.A.P.; Vielzeuf, P. Variations of the fine-structure constant α in exotic singularity models. Phys. Rev. D 2014, 89, 123512. [Google Scholar] [CrossRef]
- Molaro, P.; Centurion, M.; Whitmore, J.B.; Evans, T.M.; Murphy, M.T.; Agafonova, I.I.; Bonifacio, P.; D’Odorico, S.; Levshakov, S.A.; Lopez, S.; et al. The UVES Large Program for Testing Fundamental Physics: I Bounds on a change in α towards quasar HE 2217–2818. Astron. Astrophys. 2013. [Google Scholar] [CrossRef]
- Molaro, P.; Reimers, D.; Agafonova, I.I.; Levshakov, S.A. Bounds on the fine structure constant variability from Fe II absorption lines in QSO spectra. Eur. Phys. J. Spec. Top. 2008, 163, 173–189. [Google Scholar] [CrossRef]
- Chand, H.; Srianad, R.; Petitjean, P.; Aracil, B.; Quast, R.; Reimers, D. On the variation of the fine-structure constant: Very high resolution spectrum of QSO HE 0515-4414. Astron. Astrophys. 2006, 451, 45–56. [Google Scholar] [CrossRef]
- Agafonova, I.I.; Molaro, P.; Levshakov, S.A. First measurement of Mg isotope abundances at high redshifts and accurate estimate of Δα/α. Astron. Astrophys. 2011. [Google Scholar] [CrossRef]
- O’Brian, J.; Smidt, J.; de Bernardis, F.; Cooray, A. Constraints on Spatial Variations in the Fine-Structure constant from Planck. Astrophys. J. 2015. [Google Scholar] [CrossRef]
- Webb, J.K.; King, J.A.; Murphy, M.T.; Flambaum, V.V.; Carswell, R.F.; Bainbridge, M.B. Indications of a spatial variation of the fine structure constant. Phys. Rev. Lett. 2011, 107, 191101. [Google Scholar] [CrossRef] [PubMed]
- Hellings, R.W.; Adams, P.J.; Anderson, J.D.; Keesey, M.S.; Lau, E.L.; Standish, E.M.; Canuto, V.M.; Goldman, I. Experimental Test of the Variability of G Using Viking Lander Ranging Data. Phys. Rev. Lett. 1983, 51. [Google Scholar] [CrossRef]
- Williams, J.G.; Turyshev, S.G.; Boggs, D.H. Progress in lunar laser ranging tests of relativistic gravity. Phys. Rev. Lett. 2004, 93, 26101. [Google Scholar] [CrossRef] [PubMed]
- Uzan, J.-P. Varying constants, gravitation, and cosmology. Liv. Rev. Rel. 2011, 14. [Google Scholar] [CrossRef]


| h | γ | α | β | ||||||
|---|---|---|---|---|---|---|---|---|---|
© 2016 by the authors; licensee MDPI, Basel, Switzerland. This article is an open access article distributed under the terms and conditions of the Creative Commons by Attribution (CC-BY) license (http://creativecommons.org/licenses/by/4.0/).
Share and Cite
Da̧browski, M.P.; Gohar, H.; Salzano, V. Varying Constants Entropic-ΛCDM Cosmology. Entropy 2016, 18, 60. https://doi.org/10.3390/e18020060
Da̧browski MP, Gohar H, Salzano V. Varying Constants Entropic-ΛCDM Cosmology. Entropy. 2016; 18(2):60. https://doi.org/10.3390/e18020060
Chicago/Turabian StyleDa̧browski, Mariusz P., Hussain Gohar, and Vincenzo Salzano. 2016. "Varying Constants Entropic-ΛCDM Cosmology" Entropy 18, no. 2: 60. https://doi.org/10.3390/e18020060
APA StyleDa̧browski, M. P., Gohar, H., & Salzano, V. (2016). Varying Constants Entropic-ΛCDM Cosmology. Entropy, 18(2), 60. https://doi.org/10.3390/e18020060

