Remote Sens. 2017, 9(1), 48; doi:10.3390/rs9010048
Progress in Remote Sensing of Photosynthetic Activity over the Amazon Basin
1
Department of Forest Ecosystems and Society, Oregon State University, Corvallis, OR 97331, USA
2
Department of Forest Engineering, Resources and Management, Oregon State University, Corvallis, OR 97331, USA
3
Instituto Nacional de Pesquisas Espaciais (INPE), Divisão de Sensoriamento Remoto, São José dos Campos, SP 12227-010, Brazil
4
NASA Goddard Space Flight Center, Greenbelt, MD 20771, USA
†
Deceased.
*
Author to whom correspondence should be addressed.
Academic Editors: Lenio Soares Galvao and Prasad S. Thenkabail
Received: 5 November 2016 / Revised: 17 December 2016 / Accepted: 1 January 2017 / Published: 7 January 2017
Abstract
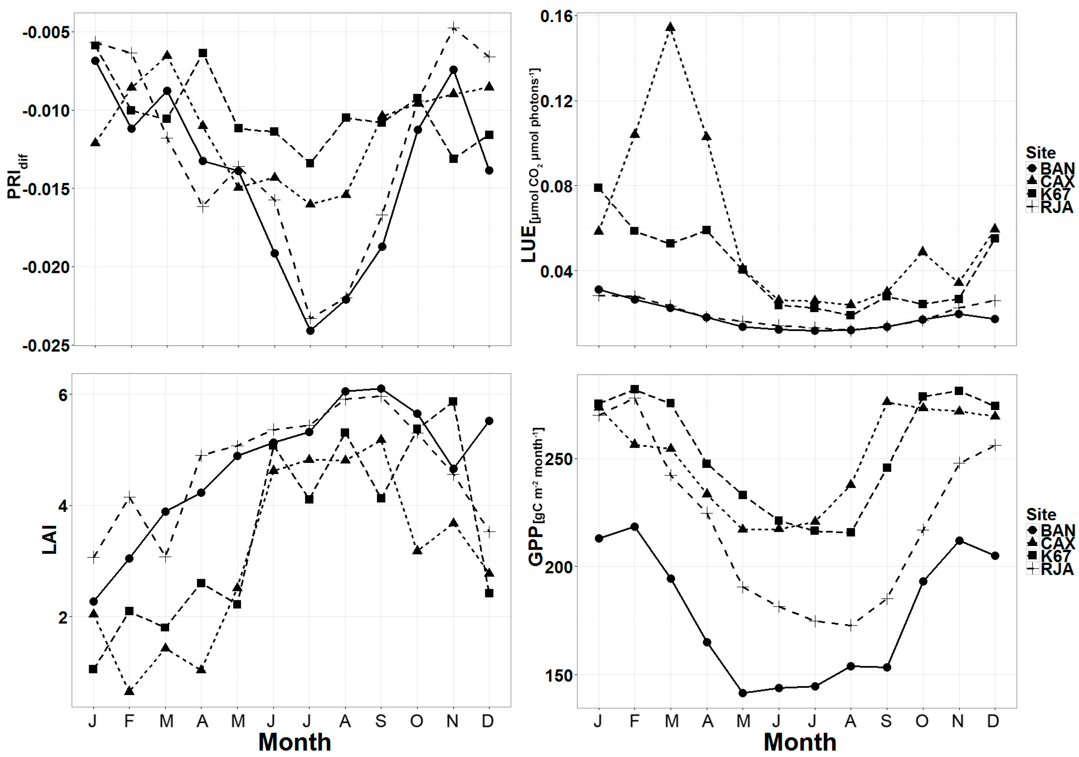
Although quantifying the massive exchange of carbon that takes place over the Amazon Basin remains a challenge, progress is being made as the remote sensing community moves from using traditional, reflectance-based vegetation indices, such as the Normalized Difference Vegetation Index (NDVI), to the more functional Photochemical Reflectance Index (PRI). This new index, together with satellite-derived estimates of canopy light interception and Sun-Induced Fluorescence (SIF), provide improved estimates of Gross Primary Production (GPP). This paper traces the development of these new approaches, compares the results of their analyses from multiple years of data acquired across the Amazon Basin and suggests further improvements in instrument design, data acquisition and processing. We demonstrated that our estimates of PRI are in generally good agreement with eddy-flux tower measurements of photosynthetic light use efficiency (ε) at four sites in the Amazon Basin: r2 values ranged from 0.37 to 0.51 for northern flux sites and to 0.78 for southern flux sites. This is a significant advance over previous approaches seeking to establish a link between global-scale photosynthetic activity and remotely-sensed data. When combined with measurements of Sun-Induced Fluorescence (SIF), PRI provides realistic estimates of seasonal variation in photosynthesis over the Amazon that relate well to the wet and dry seasons. We anticipate that our findings will steer the development of improved approaches to estimate photosynthetic activity over the tropics. View Full-TextKeywords:
MAIAC; MODIS; Amazon; tropical forest; drought; photosynthesis; GPP; light use efficiency; Sun-induced fluorescence; eddy-flux
▼
Figures
This is an open access article distributed under the Creative Commons Attribution License which permits unrestricted use, distribution, and reproduction in any medium, provided the original work is properly cited. (CC BY 4.0).
Scifeed alert for new publications
Never miss any articles matching your research from any publisher- Get alerts for new papers matching your research
- Find out the new papers from selected authors
- Updated daily for 49'000+ journals and 6000+ publishers
- Define your Scifeed now
Share & Cite This Article
MDPI and ACS Style
de Sousa, C.H.R.; Hilker, T.; Waring, R.; de Moura, Y.M.; Lyapustin, A. Progress in Remote Sensing of Photosynthetic Activity over the Amazon Basin. Remote Sens. 2017, 9, 48.
Note that from the first issue of 2016, MDPI journals use article numbers instead of page numbers. See further details here.
Related Articles
Article Metrics
Comments
[Return to top]
Remote Sens.
EISSN 2072-4292
Published by MDPI AG, Basel, Switzerland
RSS
E-Mail Table of Contents Alert

