5,5’-Biindole
Abstract
:Introduction
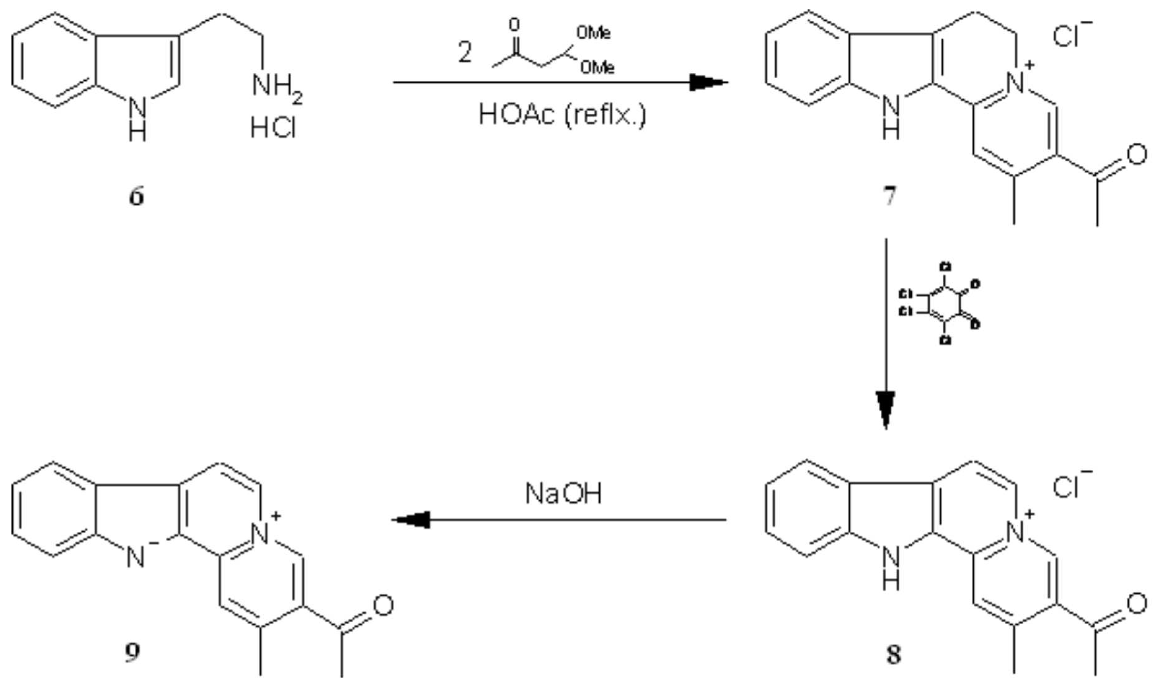
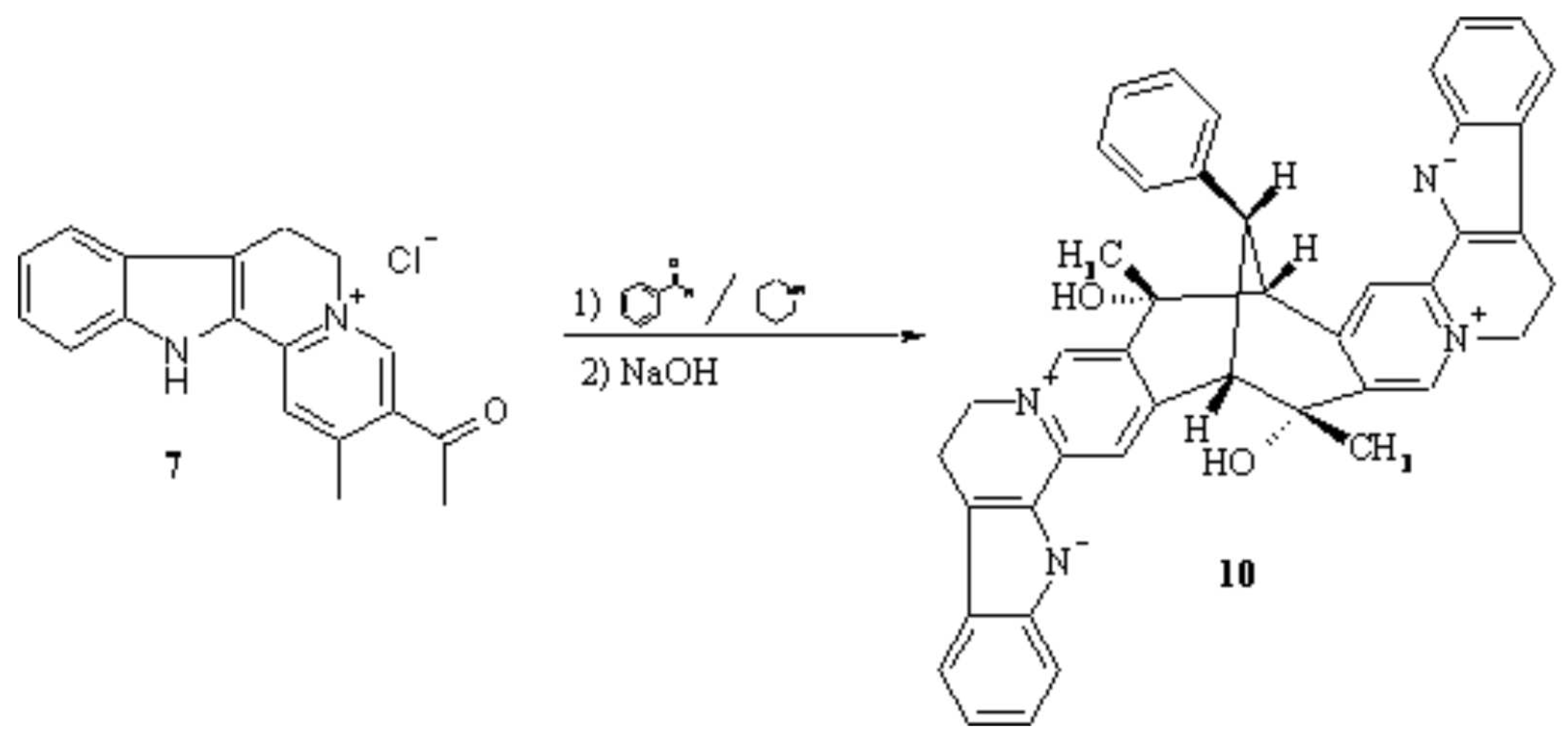
Results and Discussion
Conclusions
Experimental
General
5,5’-Biindole (13).
Supplementary materials
Supplementary File 1Supplementary File 2Supplementary File 3Acknowledgments
References
- Sundberg, R.J. The chemistry of indoles. In Organic Chemistry, a series of monographs; Blomquist, A.T., Ed.; Academic Press: New York and London, 1970. [Google Scholar]
- Saxton, J.E. Indoles, Part four, The monoterpenoid indole alkaloids. In The Chemistry of Heterocyclic Compounds, a series of monographs; Weissberger, A., Taylor, E.C., Eds.; John Wiley & Sons: New York, 1983. [Google Scholar]
- Hesse, M. Alkaloids, Nature’s curse or blessing? VHCA: Zürich, 2002. [Google Scholar]
- Monien, B.H.; Krishnasamy, C.; Olson, S.T.; Desai, U.R. Importance of Tryptophan 49 of Antithrombin in Heparin Binding and Conformational Activation. Biochemistry 2005, 44, 11660–11668. [Google Scholar] [CrossRef] [PubMed]
- Tafazoli, S.; O'Brien, P.J. Prooxidant Activity and Cytotoxic Effects of Indole-3-acetic Acid Derivative Radicals. Chem. Res. Toxicol. 2004, 17, 1350–1355. [Google Scholar] [CrossRef] [PubMed]
- Wang, G.; Geng, L. Statistical and Generalized Two-Dimensional Correlation Spectroscopy of Multiple Ionization States. Fluorescence of Neurotransmitter Serotonin. Anal. Chem. 2005, 77, 20–29. [Google Scholar] [CrossRef] [PubMed]
- Fronza, G.; Mele, A.; Redenti, E.; Ventura, P. 1H NMR and Molecular Modeling Study on the Inclusion Complex β-Cyclodextrin-Indomethacin. J. Org. Chem. 1996, 61, 909–914. [Google Scholar] [CrossRef]
- Bontchev, P.R.; Pantcheva, I.N.; Bontchev, R.P.; Ivanov, D.S.; Danchev, N.D. Copper (II) Complexes of the β-blocker pindolol: properties, structure, biological activity. BioMetals 2002, 15, 79–86. [Google Scholar] [CrossRef] [PubMed]
- Yokoshima, S.; Ueda, T.; Kobayashi, S.; Sato, A.; Kuboyama, T.; Yokuyama, H.; Fukuyama, T. Sterocontrolled Total Synthesis of (+)-Vinblastine. J. Am. Chem. Soc. 2002, 124, 2137–2139. [Google Scholar] [CrossRef] [PubMed]
- Li, V.-S.; Reed, M.; Zheng, Y.; Kohn, H.; Tang, M.-s. C5 Cytosine Methylation at CpG Sites Enhances Sequence Selectivity of Mitomycin C-DNA Bonding. Biochemistry 2000, 39, 2612–2618. [Google Scholar] [CrossRef] [PubMed]
- Kirsch, G.H. Heterocyclic Analogues of Carbazole Alkaloids. Curr. Org. Chem. 2001, 5, 507–518. [Google Scholar] [CrossRef]
- Kamijo, S.; Yamamoto, Y. A Bimetallic Catalyst and Dual Role Catalyst: Synthesis of N-(Alkoxycarbonyl)indoles from (2-(Alkynyl)phenylisocianates. J. Org. Chem. 2003, 68, 4764–4771. [Google Scholar] [CrossRef] [PubMed]
- Stöckigt, J. Biosynthesis in Rauwolfia serpentine – Modern Aspects of an Old Medicinal Plant. The Alkaloids 1995, 47, 115–172. [Google Scholar]
- Beljanski, M.; Beljanski, M.S. Selective Inhibition of in vitro Synthesis of cancer DNA by Alkaloids of β-Carboline Class. Exp. Cell Biol. 1982, 50, 79–87. [Google Scholar] [CrossRef] [PubMed]
- Beljanski, M.; Beljanski, M.S. Three Alkaloids as Selective Destroyers of Cancer Cells in Mice. Oncology 1986, 49, 198–203. [Google Scholar] [CrossRef]
- Yoshino, H.; Koike, K.; Nikaido, T. Synthesis and Antitumor Activity of Javacarboline Derivatives. Heterocycles 1999, 51, 281–293. [Google Scholar]
- Matia, M.P.; Ezquerra, J.; García-Navio, J.L.; Vaquero, J.J.; Alvarez-Builla, J. New Uses of Westphal Condensation: Synthesis of Flavocorylene and Related Indolo[2,3-a]quinolizinium Salts. Tetrahedron Lett. 1991, 32, 7575. [Google Scholar] [CrossRef]
- Teuber, H.J.; Hochmuth, U. Eine einfache Indolo[2,3-a]chinolizin-Synthese. Zugleich eine Modell-Reaktion für die Alkaloid-Biogenese? Tetrahedron Lett. 1964, 325–329. [Google Scholar] [CrossRef]
- Teuber, H.J.; Quintanilla-Licea, R.; Raabe, T. Indolo[2,3-a]quinolizines and a Convenient Synthesis of Flavoserpentine. Liebigs Ann. Chem. 1988, 1111–1120. [Google Scholar] [CrossRef]
- Quintanilla-Licea, R.; Teuber, H.J. Review on reactions of acetylacetaldehyde with aromatic amines and indoles – Synthesis of heterocycles via hydroxymethylene ketones. Heterocycles 2001, 55, 1365. [Google Scholar] [CrossRef]
- Solís-Maldonado, C.; Quintanilla-Licea, R.; Tamez-Guerra, R.; Rodríguez-Padilla, C.; Gomez-Flores, R. Differential Effects of synthetic indoloquinolizines on in vitro Rat Lymphocyte and Macrophage Functions. Int. Immunopharmacol. 2003, 3, 1261–1271. [Google Scholar] [CrossRef]
- von Bayer, A. Ann. Chem. 1866, 140, 295.
- Remers, W.A.; Brown, R.K. In Indoles, Part One; Houlihan, W.J., Ed.; John Wiley & Sons, Inc.: New York, 1972. [Google Scholar]
- Kuethe, J.T.; Wong, A.; Davies, I.W. Rapid and Efficient Synthesis of 1H-Indol-2-yl-1H-quinolin-2-ones. Org. Lett. 2003, 5, 3975–3978. [Google Scholar] [CrossRef] [PubMed]
- Pal, M.; Dakarapu, R.; Padakanti, S. A direct Access to 3-(2-Oxoalkyl)indoles via Aluminum Chloride Induced C-C Bond Formation. J. Org. Chem. 2004, 69, 2913–2916. [Google Scholar] [CrossRef] [PubMed]
- Szántay, C. Synthetic Studies in Alkaloid Chemistry. The Alkaloids 1998, 50, 377–414. [Google Scholar]
- Takao, K.-i.; Munakata, R.; Tadano, K.-i. Recent Advances in Natural Product Synthesis by Using Intramolecular Dies-Alder Reactions. Chem. Rev. 2005, 105, 4779–4807. [Google Scholar] [CrossRef] [PubMed]
- Babu, G.; Orita, A.; Otera, J. Novel Synthesis of 2-Aryl and 2,3-Disubstituted Indoles by Modified Double Elimination Protocol. Org. Lett. 2005, 7, 4641–4643. [Google Scholar] [CrossRef] [PubMed]
- Peters, R.; Waldmeier, P.; Joncour, A. Efficient Synthesis of a 5-HT2C Receptor Agonist Precursor. Org. Process Res. Dev. 2005, 9, 508–512. [Google Scholar] [CrossRef]
- Dalpozzo, R.; Bartoli, G. Bartoli Indole Synthesis. Curr. Org. Chem. 2005, 9, 163–178. [Google Scholar] [CrossRef]
- Madelung, W. Chem. Ber. 1912, 45, 1128.
- Houlihan, W.J.; Parrino, V.A.; Uike, Y. Lithiation of N-(2-Alkylphenyl)alkanamides and Related Compounds. A Modified Madelung Indole Synthesis. J. Org. Chem. 1981, 46, 4511–4515. [Google Scholar] [CrossRef]
- Tyson, F.T. Indole Preparation. J. Am. Chem. Soc. 1941, 63, 2024–2025. [Google Scholar] [CrossRef]
- Galat, A.; Friedman, H.L. Indole from Formyl-toluidine. J. Am. Chem. Soc. 1948, 70, 1280–1281. [Google Scholar] [CrossRef]
- Tyson, F.T. Preparation of Indole. J. Am. Chem. Soc. 1950, 72, 2801–2803. [Google Scholar] [CrossRef]
- Quintanilla-Licea, R.; Colunga-Valladares, J.F.; Caballero-Quintero, A.; Rodríguez-Padilla, C.; Tamez-Guerra, R.; Gomez-Flores, R.; Waksman, N. NMR Detection of Isomers Arising from Restricted Rotation of C-N Amide Bond of N-formyl-o-toluidine and N,N’-bis-formyl-o-tolidine. Molecules 2002, 7, 662–673. [Google Scholar] [CrossRef]
- Vogel, A.I.; Furniss, B.S. Vogel’s Textbook of Practical Organic Chemistry, Including Qualitative Organic Analysis; Longman: London and New York, 1978; pp. 885–886. [Google Scholar]
- Tyson, F.T. Indole. Org. Synth. Coll. Vol. III 1955, 479–482. [Google Scholar]
- Hiremat, S.P.; Hosmane, R.S. Applications of Nuclear Magnetic Resonance Spectroscopy to Heterocyclic Chemistry: Indole and its Derivatives. In Advances in Heterocyclic Chemistry; Katritzky, A.R., Boulton, A.J., Eds.; Academic Press: New York and London, 1973; Vol. 15, pp. 278–324. [Google Scholar]
- Crabb, T.A. Nuclear Magnetic Resonance of Alkaloids. In Annual Reports on NMR Spectroscopy; Webb, G.A., Ed.; Academic Press: London, 1978; Vol. 8, pp. 2–198. [Google Scholar]
- Ernst, L.; Kang, S. Carbon-13 NMR Spectroscopy of Substituted Indoles and Tryptamines. J. Chem. Res. (S) 1981, 259, J. Chem. Res. (M) 1981, 3019-3027. [Google Scholar]
- Integrated Spectral Data Base System for Organic compounds. [a] SDBS No. 717HSP-49-404; [b] SDBS No. 717CDS-00-313. http://www.aist.go.jp/RIODB/SDBS.
- Beller, M.; Breindl, C.; Riermeier, T.H.; Tillack, A. Synthesis of 2,3-Dihydroindoles, Indoles, and Anilines by Transition Metal-Free Amination of Aryl chlorides. J. Org. Chem. 2001, 66, 1403–1412. [Google Scholar] [CrossRef] [PubMed]
- Gossler, H.; Plieninger, H. Indoles by Reduction of Isatines, II – Synthesis and Properties of Biindoles. Liebigs Ann. Chem. 1977, 1953–1958. [Google Scholar]
- Suvorov, N.N.; Samsoniya, Sh.A.; Chilikin, L.G.; Chikvadize, I.Sh.; Turchin, K.F.; Efimova, T.K.; Tret’yakova, L.G.; Gverdtsiteli, I.M.; Bisindoles, I. Synthesis of 3,5’- and 5,5’-bis-1H-indoles. Khim. Geterotsikl. Soedin. 1978, 217–224. [Google Scholar]
- Rollin, Y.; Troupel, M.; Tuck, D. G.; Perichon, J. The Coupling of Organic Groups by the Electrochemical Reduction of Organic Halides: Catalysis by 2,2’-bipyridinenickel Complexes. J. Organomet. Chem. 1986, 303, 131–137. [Google Scholar] [CrossRef]
- Courtois, V.; Barhdadi, R.; Troupel, M.; Perichon, J. Electroreductive Coupling of Organic Halides in Alcoholic Solvents. An Example: the Electrosynthesis of Biaryls Catalyzed by Nickel-2,2’-bipyridine Complex. Tetrahedron 1997, 53, 11569–11576. [Google Scholar] [CrossRef]
- Sample availability: Available from the author.








| POSITION | dH | dC | bDEPT 135 | COSY 1H-1H Correlations | cHMQC 1JCH | ||
| 3JCH | |||||||
| 1 (N-H) | 11.08 (s) | H-2 | |||||
| 2 | 7.33 (t, 2.65) | 125.07 | (+) CH | N-H, H-3 | H-2 | H-3 | |
| 3 | 6.42 (d, 2.65) | 100.84 | (+) CH | H-2, H-4 | H-3 | H-2 | |
| 3a | 127.47 | (0) Cq | H-3 | H-2, H-5, H-7 | |||
| 4 | 7.53 (d, 7.82) | 119.87 | (+) CH | H-5 | H-4 | H-6 | |
| 5 | 6.98 (t, 7.37) | 118.64 | (+) CH | H-4 | H-5 | H-7 | |
| 6 | 7.07 (t, 7.52) | 120.75 | (+) CH | H-7 | H-6 | H-4 | |
| 7 | 7.39 (d, 8.06) | 111.26 | (+) CH | H-6 | H-7 | H-5 | |
| 7a | 135.71 | (0) Cq | H-2, H-3, H-4, H-6 |
- a)
- Number of hydrogens bound to carbon atoms deduced by comparative analysis of DEPT 135-13C-NMR spectra. Chemical shifts and coupling constants (J) obtained of 1D 1H-NMR spectrum
- b)
- DEPT shows CH, CH2, CH3, Cq
- c)
- Correlation from C to the indicated hydrogens
| bPOSITION | dH | dC | cDEPT 135 | COSY 1H-1H Correlations | dHMQC 1JCH | ||
| 3JCH | |||||||
| 1 (N-H) | 11.06 (s) | H-2, H-3 | |||||
| 2 | 7.34 (s) | 125.59 | (+) CH | N-H, H-3 | H-2 | H-3 | |
| 3 | 6.46 (s) | 101.22 | (+) CH | H-2 | H-3 | H-2 | H-4 |
| 3a | 128.18 | (0) Cq | H-3 | H-2, H-7 | |||
| 4 | 7.77 (s) | 117.81 | (+) CH | H-4 | H-6 | ||
| 5 | 133.12 | (0) Cq | H-7 | ||||
| 6 | 7.39 (d, 8.42) | 120.72 | (+) CH | H-7 | H-6 | H-4 | |
| 7 | 7.44 (d, 8.38) | 111.45 | (+) CH | H-6 | H-7 | ||
| 7a | 134.80 | (0) Cq | H-2, H-3, H-4, H-6 |
- a)
- Number of hydrogens bound to carbon atoms deduced by comparative analysis of DEPT 135-13C-NMR spectra. Chemical shifts and coupling constants (J) obtained of 1D 1H NMR spectrum
- b)
- Corresponding also to positions 1’-7a’ due to symmetry of the molecule
- c)
- DEPT shows CH, CH2, CH3, Cq
- d)
- Correlation from C to the indicated hydrogens
© 2006 by MDPI (http://www.mdpi.org). Reproduction is permitted for noncommercial purposes.
Share and Cite
Quintanilla-Licea, R.; Colunga-Valladares, J.F.; Caballero-Quintero, A.; Waksman, N.; Gomez-Flores, R.; Rodríguez-Padilla, C.; Tamez-Guerra, R. 5,5’-Biindole. Molbank 2006, 2006, M474. https://doi.org/10.3390/M474
Quintanilla-Licea R, Colunga-Valladares JF, Caballero-Quintero A, Waksman N, Gomez-Flores R, Rodríguez-Padilla C, Tamez-Guerra R. 5,5’-Biindole. Molbank. 2006; 2006(2):M474. https://doi.org/10.3390/M474
Chicago/Turabian StyleQuintanilla-Licea, Ramiro, Juan F. Colunga-Valladares, Adolfo Caballero-Quintero, Noemí Waksman, Ricardo Gomez-Flores, Cristina Rodríguez-Padilla, and Reyes Tamez-Guerra. 2006. "5,5’-Biindole" Molbank 2006, no. 2: M474. https://doi.org/10.3390/M474
APA StyleQuintanilla-Licea, R., Colunga-Valladares, J. F., Caballero-Quintero, A., Waksman, N., Gomez-Flores, R., Rodríguez-Padilla, C., & Tamez-Guerra, R. (2006). 5,5’-Biindole. Molbank, 2006(2), M474. https://doi.org/10.3390/M474
