Comprehensive and Facile Synthesis of Some Functionalized Bis-Heterocyclic Compounds Containing a Thieno[2,3-b]thiophene Motif
Abstract
:1. Introduction
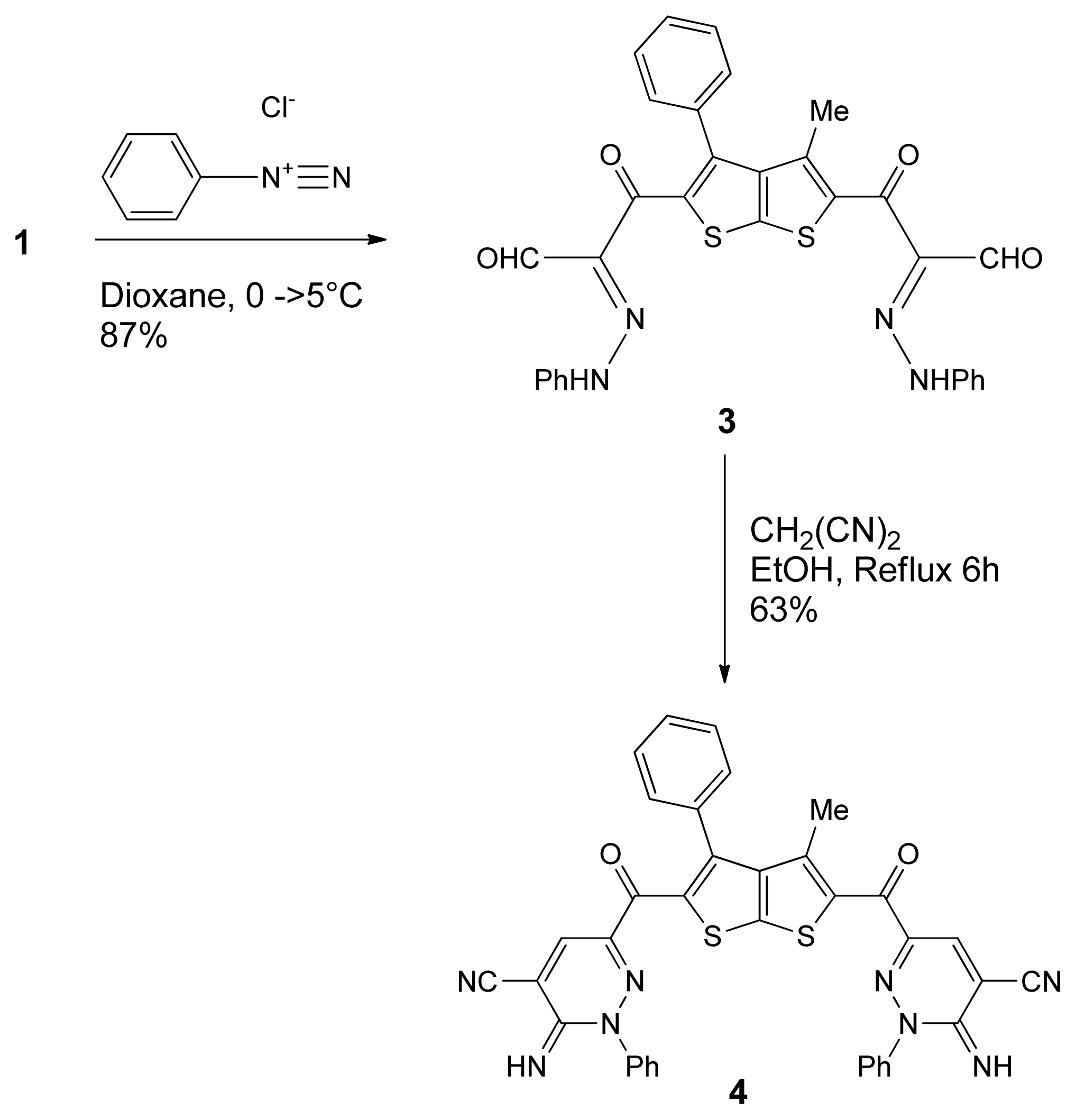
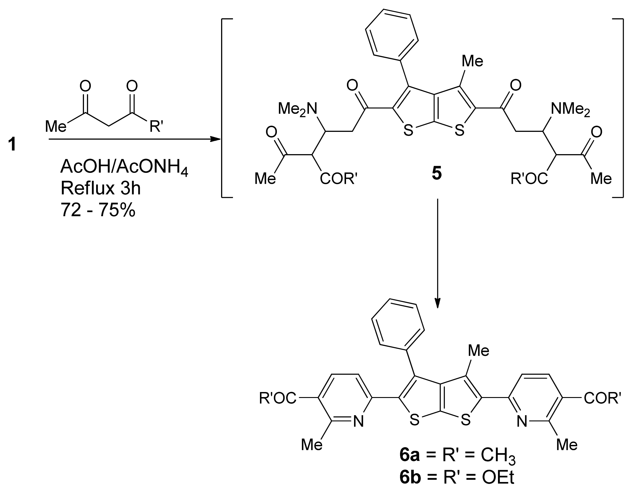
2. Results and Discussion
3. Experimental Section
Diethyl-4,4′-(3-Methyl-4-phenylthieno[2,3-b]thiophene-2,5-dicarbonyl)bis(1-phenyl-1H-pyrazole-3-carboxylate) (2a)
Diethyl-4,4′-(3-methyl-4-phenylthieno[2,3-b]thiophene-2,5-dicarbonyl)bis(1-(4-chlorophenyl)-1H-pyrazole-3-carboxylate) (2b)
Diethyl-4,4′-(3-methyl-4-phenylthieno[2,3-b]thiophene-2,5-dicarbonyl)bis(1-(4-methoxyphenyl)-1H-pyrazole- 3-carboxylate) (2c)
3,3′-(3-Methyl-4-phenylthieno[2,3-b]thiophene-2,5-diyl)bis(3-oxo-2-(2-phenylhydrazono)propanal) (3)
6-(5-(5-Cyano-6-imino-1,6-dihydropyridazine-3-carbonyl)-3-methyl-4-phenylthieno [2,3-b]thiophene-2-carbonyl)-3-imino-2,3-dihydropyridazine-4-carbonitrile (4)
1,1′-(6,6′-(3-methyl-4-phenylthieno[2,3-b]thiophene-2,5-diyl)bis(2-methylpyridine-6,3-diyl))diethanone (6a)
Diethyl-6,6′-(3-methyl-4-phenylthieno[2,3-b]thiophene-2,5-diyl)bis(2-methylnicotinate) (6b)
6,6′-(3-methyl-4-phenylthieno[2,3-b]thiophene-2,5-diyl)bis(2-ethoxynicotinonitrile) (7)
5,5′-(3-methyl-4-phenylthieno[2,3-b]thiophene-2,5-diyl)bis(2-cyano-5-(dimethylamino)penta-2,4- dienamide) (8)
6-(5-(5-cyano-6-oxo-1,6-dihydropyridin-2-yl)-3-methyl-4-phenylthieno[2,3-b]thiophen-2-yl)-2-oxo-1,2-dihydropyridine-3-carboxylic acid (11)
6-(5-(5-cyano-6-oxo-1,6-dihydropyridin-2-yl)-3-methyl-4-phenylthieno[2,3-b]thiophen-2-yl)-2-oxo-1,2-dihydropyridine-3-carbonitrile (10)
6,6′-(3-methyl-4-phenylthieno[2,3-b]thiophene-2,5-dicarbonyl)bis(3-oxo-2,3-dihydropyridazine-4-carboxylic acid) (9)
4. Conclusions
Acknowledgments
References
- Shen, D.; Shu, M.; Chapman, K.T. Versatile and efficient solid-phase syntheses of pyrazoles and isoxazoles. Org. Lett 2000, 2, 2789–2792. [Google Scholar]
- Dadiboyena, S.; Valente, E.J.; Hamme, A.T., II. A novel synthesis of 1,3,5-trisubstituted pyrazoles through a spiro-pyrazoline intermediate via a tandem 1,3-dipolar cycloaddition/elimination. Tetrahedron Lett. 2009, 50, 291–294. [Google Scholar]
- Mabkhot, N.Y.; Barakat, A.; Al-Majid, A.M.; Al-Othman, Z.A.; Alamary, A.S. A facile and convenient synthesis of some novel hydrazones, Schiff’s base and pyrazoles incorporating thieno[2,3-b]thiophenes. Int. J. Mol. Sci 2011, 12, 7824–7834. [Google Scholar]
- Carrion, M.D.; Lopez Cara, L.C.; Camacho, E.V.; Tapias, M.; Escames, G.; Acuna-Castroviejo, D.; Espinosa, A.; Gallo, M.A.; Entrena, A. Pyrazoles and pyrazolines as neural and inducible nitric oxide synthase (nNOS and iNOS) potential inhibitors (III). Eur. J. Med. Chem 2008, 43, 2579–2591. [Google Scholar]
- Gokhan-Kelekçi, N.; Koyunoglu, S.; Yabanoglu, S.; Yelekçi, K.; Özgen, Ö.; Uçar, G.; Erol, K.; Kendi, E.; Yesilada, A. New pyrazoline bearing 4(3H)-quinazolinone inhibitors of monoamine oxidase: Synthesis biological evaluation, and structural determinants of MAO-A and MAO-B selectivity. Bioorg. Med. Chem. 2009, 17, 675–689. [Google Scholar]
- Liu, X.-H.; Zhi, L.-P.; Song, B.-A.; Xu, H.-L. Synthesis, Characterization and Antibacterial Activity of New 5-Aryl Pyrazole Oxime Ester Derivatives. Chem. Res 2008, 24, 454–458. [Google Scholar]
- Abid, M.; Bhat, A.R.; Athar, F.; Azam, A. Synthesis, spectral studies and antiamoebic activity of new 1-N-substituted thiocarbamoyl-3-phenyl-2-pyrazolines. Eur. J. Med. Chem 2009, 44, 417–425. [Google Scholar]
- Farag, A.M.; Mayhoub, A.S.; Barakat, S.E.; Bayomi, A.H. Regioselective synthesis and antitumor screening of some novel N-phenylpyrazole derivatives. Bioorg. Med. Chem 2008, 16, 881–889. [Google Scholar]
- Farag, A.M.; Mayhoub, A.S.; Barakat, S.E.; Bayomi, A.H. Synthesis of new N-phenylpyrazole derivatives with potent antimicrobial activity. Bioorg. Med. Chem 2008, 16, 4569–4578. [Google Scholar]
- Hui, Y.; Ptak, R.; Paulman, R.; Pallansch, M.; Chang, C.W.T. Synthesis of novel guanidine incorporated aminoglycosides, guanidinopyranmycins. Tetrahedron Lett 2002, 43, 9255–9257. [Google Scholar]
- Kashman, Y.; Rudi, A.; Pappo, D. Recent heterocyclic compounds from marine invertebrates: Structure and synthesis. Pure Appl. Chem 2007, 79, 491–505. [Google Scholar]
- Chakrabarti, J.K.; Horsman, L.; Hotten, T.M.; Pullar, I.A.; Tupper, D.E.; Wright, F.C. Heteroarenobenzodiazepines. 3. 4-Piperazinyl-10H-thieno[2,3-b][1,5]benzodiazepines as potential neuroleptics. J. Med. Chem 1980, 23, 878–884. [Google Scholar]
- Ram, V.J.; Pandey, H.K.; Vlientick, A.J. Thieno[2,3-d]pyrimidines as potential chemotherapeutic agents. II. J. Heterocycl. Chem 1981, 18, 1277–1280. [Google Scholar]
- Jarak, I.; Kralj, M.; Piantanida, I.; Suman, L.; Zinic, M.; Pavelic, K.; Karminski-Zamola, G. Novel cyano- and amidino-substituted derivatives of thieno[2,3-b]- and thieno[3,2-b]thiophene-2-carboxanilides and thieno[3′,2′:4,5]thieno and thieno[2′,3′:4,5] thieno[2,3-c]quinolones: Synthesis, photochemical synthesis, DNA binding, and antitumor evaluation. Bioorg. Med. Chem 2006, 14, 2859–2868. [Google Scholar]
- Peters, D.; Hornfeldt, A.B.; Gronowitz, S. Synthesis of various 5-substituted uracils. J. Heterocycl. Chem 1990, 27, 2165–2173. [Google Scholar]
- Kukolja, S.; Draheim, S.E.; Graves, B.J.; Hunden, D.C.; Pfeil, J.L.; Cooper, R.D.G.; Ott, J.L.; Couter, F.T. Orally absorbable cephalosporin antibiotics. 2. Structure-activity studies of bicyclic glycine derivatives of 7-aminodeacetoxycephalosporanic acid. J. Med. Chem 1985, 28, 1896–1903. [Google Scholar]
- Prugh, J.D.; Hartman, G.D.; Mallorga, P.J.; McKeever, B.M.; Michelson, S.R.; Murcko, M.A.; Schwam, H.; Smith, R.L.; Sondey, J.M.; Springer, J.P.; Surgrue, M.F. New isomeric classes of topically active ocular hypotensive carbonic anhydrase inhibitors: 5-substituted thieno[2,3-b] thiophene-2-sulfonamides and 5-substituted thieno[3,2-b]thiophene-2-sulfonamides. J. Med. Chem 1991, 34, 1805–1818. [Google Scholar]
- Hartman, G.D.; Ansdale, P.A. Substituted thieno[2,3-b]thiophene-2-sulfonamides as antiglaucoma agents. U.S. Patent 4,806,562 1989. [Google Scholar]
- Litvinov, V.P. The latest achievements in thienothiophene chemistry. Russ. Chem. Rev 2005, 74, 217–248. [Google Scholar]
- Gather, M.C.; Heeny, M.; Zhang, W.; Whitehead, K.S.; Bradley, D.D.C.; McCulloch, I.; Campbell, A. An alignable fluorene thienothiophene copolymer with deep-blue electroluminescent emission at 410 nm. Chem. Commun 2008, 1079–1081. [Google Scholar]
- He, M.; Li, J.; Sorensen, M.L.; Zhang, F.; Hancock, R.R.; Fong, H.H.; Pozdin, V.A.; Smilgies, D.; Malliaras, G.G. Alkylsubstituted thienothiophene semiconducting materials: Structure property relationships. J. Am. Chem. Soc 2009, 131, 11930–11938. [Google Scholar]
- Griffin, A.G.; Britt, T.R. Effect of molecular structure on mesomorphism. 12. Flexible-center Siamese-twin liquid crystalline diesters—A “prepolymer” model. J. Am. Chem. Soc 1981, 103, 4957–4959. [Google Scholar]
- Galli, G.; Laus, M.; Angeloni, A.S. Synthesis and thermotropic properties of new mesogenic diacrylate monomers. Makromol. Chem 1986, 187, 289–296. [Google Scholar]
- Finkelmann, H. Liquid crystalline polymers. Angew. Chem. Int. Ed. Engl 1987, 26, 816–824. [Google Scholar]
- Aguilera, C.; Parra, M.; Fuentes, G. Synthesis and mesomorphic properties of polymethylene-α,ω-bis [2-thio-5-(4′,4″n-alcoxybenzoyloxy)phenyl]-1,3,4-oxadiazole. Z. Naturforsch 1998, 53b, 367–370. [Google Scholar]
- Braun, D.; Langendorf, R. Vitrigens. I. Synthesis and characterization of low molecular weight organic glasses. J. Prakt. Chem 1999, 341, 128–137. [Google Scholar]
- Ariens, E.J. (Ed.) Drug Design; Academic Press: New York NY, USA, 1971; Volume 1, p. 1.
- Elwahy, A.H.M.; Abbas, A.A. Bis(difunctional) compounds: Versatile starting materials for novel bis(heterocycles). Synth. Commun 2000, 30, 2903–2921. [Google Scholar]
- Abbas, A.A.; Elneairy, M.A.A.; Mabkhout, Y.N. Versatile starting materials for novel 1,ω-bis(pyridin-4-ylphenoxy)alkanes, and their corresponding bis(thieno[2,3-b]pyridin-4-ylphenoxy) derivatives. J. Chem. Res 2001, 2001, 124–126. [Google Scholar]
- Elneairy, M.A.A.; Abbas, A.A.; Mabkhout, Y.N. Synthesis of novel bis-2-(1,3,4-thiadiazolin-3-ylphenoxy) alkane derivatives. Phosphorus Sulfur Silicon 2003, 178, 1747–1757. [Google Scholar]
- Abbas, A.A.; Rateb, N.M. A Facile and Convenient Method for the Synthesis of Bis-Hydrazonoyl Halides and Bis-(1,3,4-Thiadiazol-3-ylphenoxy)ethers. Phosphorus Sulfur Silicon 2005, 180, 497–511. [Google Scholar]
- Elassar, A.A.; El-Khair, A.A. Recent developments in the chemistry of enaminones. Tetrahedron 2003, 59, 8463–8480. [Google Scholar]
- Stanovnik, B.; Svete, J. Synthesis of Heterocycles from Alkyl 3-(Dimethylamino)propenoates and Related Enaminones. Chem. Rev 2004, 104, 2433–2480. [Google Scholar]
- Mabkhot, Y.N.; Al-Majid, A.M.; Barakat, A.; Alshahrani, S.; Yamin, S. 1,1′-(3-Methyl-4-phenylthieno[2,3-b]thiophene-2,5-diyl)diethanone as a building block in heterocyclic synthesis. Novel synthesis of some pyrazole and pyrimidine derivatives. Molecules 2011, 16, 6502–6511. [Google Scholar]
- Mabkhot, Y.N.; Al-Majid, A.M.; Alamary, A.S. Synthesis and chemical characterisation of some new diheteroaryl thienothiophene derivatives. Molecules 2011, 16, 7706–7714. [Google Scholar]
- Alnajjar, A.-A.; Abdelkhalik, M.M.; Al-Enezi, A.; Elnagdi, M.H. Enaminones as Building blocks in heterocyclic syntheses: Reinvestigating the product structures of enaminones with malononitrile. A novel route to 6-substituted-3-oxo-2,3-dihydropyridazine-4-carboxylic acids. Molecules 2009, 14, 68–77. [Google Scholar]









© 2012 by the authors; licensee Molecular Diversity Preservation International, Basel, Switzerland. This article is an open-access article distributed under the terms and conditions of the Creative Commons Attribution license (http://creativecommons.org/licenses/by/3.0/).
Share and Cite
Mabkhot, Y.N.; Barakat, A.; Al-Majid, A.M.; Alshahrani, S.A. Comprehensive and Facile Synthesis of Some Functionalized Bis-Heterocyclic Compounds Containing a Thieno[2,3-b]thiophene Motif. Int. J. Mol. Sci. 2012, 13, 2263-2275. https://doi.org/10.3390/ijms13022263
Mabkhot YN, Barakat A, Al-Majid AM, Alshahrani SA. Comprehensive and Facile Synthesis of Some Functionalized Bis-Heterocyclic Compounds Containing a Thieno[2,3-b]thiophene Motif. International Journal of Molecular Sciences. 2012; 13(2):2263-2275. https://doi.org/10.3390/ijms13022263
Chicago/Turabian StyleMabkhot, Yahia N., Assem Barakat, Abdullah M. Al-Majid, and Saeed A. Alshahrani. 2012. "Comprehensive and Facile Synthesis of Some Functionalized Bis-Heterocyclic Compounds Containing a Thieno[2,3-b]thiophene Motif" International Journal of Molecular Sciences 13, no. 2: 2263-2275. https://doi.org/10.3390/ijms13022263
APA StyleMabkhot, Y. N., Barakat, A., Al-Majid, A. M., & Alshahrani, S. A. (2012). Comprehensive and Facile Synthesis of Some Functionalized Bis-Heterocyclic Compounds Containing a Thieno[2,3-b]thiophene Motif. International Journal of Molecular Sciences, 13(2), 2263-2275. https://doi.org/10.3390/ijms13022263

